Fussnoten:
(+++ Textnachweis ab: 28.3.2018 +++)
(+++ Zur Anwendung vgl. § 15 Abs. 7, § 27 Abs. 1 Satz 2,
§ 29 Abs. 1 Satz 3 +++)
(+++ Text der Verordnung siehe: EEMD-ZV +++)
(Fundstelle: BAnz AT 29.10.2021 V2)
Vertrag
über die Durchführung
des europäischen elektronischen Mautdienstes
auf Bundesfernstraßen im Geltungsbereich des Bundesfernstraßenmautgesetzes
(EETS-Zulassungsvertrag)EETS-Zulassungsvertragzwischender Bundesrepublik Deutschland, vertreten durch das Bundesministerium für Digitales und Verkehr (BMDV), dieses vertreten durch das Bundesamt für Logistik und Mobilität (BALM), Werderstraße 34, 50672 Köln, dieses wiederum vertreten durch seinen Präsidenten
– Mauterheber-
und
[Name Anbieter], [Adresse Anbieter], vertreten durch [Vertretung Anbieter], [registriert gemäß Artikel 4 der Richtlinie (EU) 2019/520 in …] [Nachweis der Registrierung]
- Anbieter-
(auf die Abbildung des amtlichen Inhaltsverzeichnisses wurde verzichtet)
Präambel
|
§ 1
|
Vertragsgegenstand
|
§ 2
|
Vertragsbestandteile
|
§ 3
|
Zusicherungen des Anbieters/Wechsel eines wirtschaftlich Berechtigten
|
§ 4
|
Einschaltung Dritter
|
§ 5
|
Auskehr der Mauteinnahmen an den Mauterheber
|
§ 6
|
Sicherheiten
|
§ 7
|
Versicherungen
|
§ 8
|
Abtretungsverbot und Verbot der Schuld- und Vertragsübernahme
|
§ 9
|
Aufrechnungs- und Zurückbehaltungsrechte, Verbot der Besicherung
|
§ 10
|
Mitwirkungspflichten
|
§ 11
|
Nachweis- und Informationspflichten des Anbieters
|
§ 12
|
Zutritts- und Einsichtsrechte des Mauterhebers
|
§ 13
|
Datenschutz
|
§ 14
|
Datensicherheit
|
§ 15
|
Aufbewahrung von vertraulichen Daten
|
§ 16
|
Geheimhaltung und Vertraulichkeit
|
§ 17
|
Qualitätsanforderungen
|
§ 18
|
Übertragung von Datenobjekten
|
§ 19
|
Einstandspflicht für geschuldete Maut
|
§ 20
|
Vergütung
|
§ 21
|
Rechnungsstellung
|
§ 22
|
Allgemeine Abrechnungs- und Zahlungsbestimmungen
|
§ 23
|
Erneute Durchführung des Verfahrens zur Feststellung der Gebrauchstauglichkeit
|
§ 24
|
Haftung und Gewährleistung
|
§ 25
|
Freistellung
|
§ 26
|
Gewerbliche Schutzrechte
|
§ 27
|
Vertragsstrafen
|
§ 28
|
Laufzeit und Beendigung des Vertrags
|
§ 29
|
Verfahren nach Vertragsbeendigung
|
§ 30
|
Sperrung von Bordgeräten
|
§ 31
|
Vertragsanpassungen
|
§ 32
|
Höhere Gewalt
|
§ 33
|
Streitbeilegung
|
§ 34
|
Anwendbares Recht und Gerichtsstand
|
§ 35
|
Schriftverkehr
|
§ 36
|
Schriftform
|
§ 37
|
Salvatorische Klausel
|
Anlagen:
|
|
Anlage 1 zum EETS-Zulassungsvertrag:
|
Zusatzvereinbarung
|
Anlage 2 zum EETS-Zulassungsvertrag:
|
Bankgarantie oder gleichwertiges Finanzinstrument
|
Anlage 3 zum EETS-Zulassungsvertrag:
|
Erklärung zur Beteiligungsstruktur des Anbieters
|
Anlage 4 zum EETS-Zulassungsvertrag:
|
Gebrauchstauglichkeitsbescheinigung, ausgestellt durch den Mauterheber oder eine notifizierte Stelle
|
Anlage 5 zum EETS-Zulassungsvertrag:
|
Qualitätsparameter für EETS-Anbieter
|
Anlage 6 zum EETS-Zulassungsvertrag:
|
Entgeltordnung
|
Anlage 7 zum EETS-Zulassungsvertrag:
|
Glossar
|
Anlage 8 zum EETS-Zulassungsvertrag:
|
gegebenenfalls Erklärungen / Schriftwechsel
|
Anlage 9 zum EETS-Zulassungsvertrag:
|
Vergütung
|
|
 |
Die Richtlinie (EU) 2019/520 des Europäischen Parlaments und des Rates vom 19. März 2019 über die Interoperabilität elektronischer Mautsysteme und die Erleichterung des grenzüberschreitenden Informationsaustauschs über die Nichtzahlung von Straßenbenutzungsgebühren in der Union (ABl. L 91 vom 29.3.2019, S. 45), die Delegierte Verordnung (EU) 2020/203 der Kommission vom 28. November 2019 über die Klassifizierung von Fahrzeugen, Pflichten der Nutzer des europäischen elektronischen Mautdienstes, Anforderungen an Interoperabilitätskomponenten und Mindesteignungskriterien für benannte Stellen (ABl. L 43 vom 17.2.2020, S. 41) und die Durchführungsverordnung (EU) 2020/204 der Kommission vom 28. November 2019 über detaillierte Pflichten der Anbieter des europäischen elektronischen Mautdienstes, den Mindestinhalt der Vorgabe für das EETS-Gebiet, elektronische Schnittstellen und Anforderungen an Interoperabilitätskomponenten sowie zur Aufhebung der Entscheidung 2009/750/EG (ABl. L 43 vom 17.2.2020, S. 49) bilden in Verbindung mit dem Mautsystemgesetz (MautSysG) und dem Bundesfernstraßenmautgesetz (BFStrMG) sowie den auf ihrer Grundlage erlassenen Rechtsverordnungen die rechtlichen Grundlagen für die Implementierung des europäischen elektronischen Mautdienstes (EETS) in der Bundesrepublik Deutschland.
Ziel des EETS ist es, den Nutzern den Zugang zum gesamten mautpflichtigen europäischen Straßennetz mit nur einem Vertrag und nur einem Bordgerät eines Anbieters zu ermöglichen.
(1) Dieser EETS-Zulassungsvertrag („Vertrag“) regelt die Rechte und Pflichten des Anbieters und des Mauterhebers im Zusammenhang mit der Durchführung des EETS auf mautpflichtigen Bundesfernstraßen im Geltungsbereich des BFStrMG („EETS-Gebiet BFStrMG“) nach § 4f Absatz 1 BFStrMG. Soweit nicht ausdrücklich geregelt, sind Rechte und Pflichten des Anbieters gegenüber Nutzern sowie die zwischen Anbieter und Nutzern geltenden vertraglichen und sonstigen Vereinbarungen nicht Gegenstand dieses Vertrages.
(2) Dem Anbieter wird auf der Grundlage dieses Vertrages Zugang zum EETS-Gebiet BFStrMG gewährt. Zu den Pflichten des Anbieters im EETS-Gebiet BFStrMG gehört insbesondere die fortlaufende Erfüllung der jeweils geltenden Bestimmungen zur Interoperabilität der elektronischen Mautsysteme in der Europäischen Union und der jeweils geltenden Rechtsvorschriften der Bundesrepublik Deutschland im Zusammenhang mit der Erhebung, Vereinnahmung und Auskehr der Maut im EETS-Gebiet BFStrMG, insbesondere der Vorgaben der Verordnung über die Vorgaben für das EETS-Gebiet Bundesfernstraßenmautgesetz (EEMD-Gebietsvorgabenverordnung – GVV) (nachfolgend: „Vorgaben für das EETS-Gebiet BFStrMG“).
(3) Auf der Grundlage dieses Vertrages wird dem Anbieter gestattet, im Auftrag seiner Nutzer die von diesen für die Nutzung des mautpflichtigen Streckennetzes innerhalb des EETS-Gebiets BFStrMG geschuldete Maut einzunehmen. Eine weitergehende Aufgabenübertragung an den Anbieter findet nicht statt.
(4) Der Anbieter ist verpflichtet, die Mauteinnahmen an den Mauterheber auszukehren.
(5) Gegenstand dieses Vertrages ist insbesondere auch die Gewährleistung der Sicherheit der Daten und des Datenschutzes. Daten im Sinne dieses Vertrages sind alle Informationen jeglicher Art in elektronischer, Papier- und sonstiger Form (insgesamt „Daten“).
(6) Vorbehaltlich der in diesem Vertrag enthaltenen Definitionen gelten für diesen Vertrag die im Glossar nach Anlage 7 enthaltenen Definitionen.
(1) Bestandteile dieses Vertrages sind
- 1.
die Zusatzvereinbarung [Anlage 1],
- 2.
die Bankgarantie oder das gleichwertige Finanzinstrument [Anlage 2],
- 3.
die Erklärung zur Beteiligungsstruktur des Anbieters [Anlage 3],
- 4.
die Gebrauchstauglichkeitsbescheinigung, ausgestellt durch den Mauterheber oder eine notifizierte Stelle [Anlage 4],
- 5.
die Qualitätsparameter für EETS-Anbieter [Anlage 5],
- 6.
die Entgeltordnung [Anlage 6],
- 7.
das Glossar [Anlage 7],
- 8.
gegebenenfalls Erklärungen/ Schriftwechsel [Anlage 8] und
- 9.
die Regelungen zur Vergütung [Anlage 9].
(2) Bei Widersprüchen in diesem Vertrag gelten nacheinander
- 1.
dieser Vertrag,
- 2.
die Zusatzvereinbarung [Anlage 1],
- 3.
gegebenenfalls Erklärungen/ Schriftwechsel [Anlage 8],
- 4.
die Gebrauchstauglichkeitsbescheinigung, ausgestellt durch den Mauterheber oder eine notifizierte Stelle [Anlage 4] und
- 5.
das Glossar [Anlage 7].
(1) Der Anbieter versichert, dass er entsprechend Artikel 4 der Richtlinie (EU) 2019/520 registriert ist, und hat die Registrierung vor Vertragsschluss belegt. Der Anbieter muss dem Mauterheber unverzüglich mitteilen, wenn seine Registrierung widerrufen oder aus anderem Grund nicht mehr gültig ist oder ein Verfahren zum Widerruf der Registrierung von der zuständigen Stelle eingeleitet worden ist. Auf Verlangen des Mauterhebers muss der Anbieter das Vorliegen seiner Registrierung nachweisen.
(2) Der Anbieter versichert, dass die nachfolgenden Angaben am Tag der Unterzeichnung dieses Vertrages vollständig und richtig sind:
- 1.
Der Anbieter ist nach den auf ihn anwendbaren gesetzlichen Bestimmungen ordnungsgemäß gegründet worden und besteht wirksam.
- 2.
Der Anbieter ist uneingeschränkt berechtigt, diesen Vertrag abzuschließen und durchzuführen und besitzt alle hierzu erforderlichen Zustimmungen.
- 3.
Der Abschluss und die Durchführung dieses Vertrages verletzen nicht die Satzung, Gesellschafterbeschlüsse oder eine Geschäftsordnung des Anbieters.
- 4.
Der Abschluss und die Durchführung dieses Vertrages verletzen nicht für den Anbieter verbindliche Rechtsvorschriften oder gerichtliche oder behördliche Entscheidungen, Verfügungen oder sonstige Regelungen.
- 5.
Es sind keine Insolvenz-, Reorganisations- oder ähnliche Verfahren im In- oder Ausland über das Vermögen des Anbieters beantragt oder eröffnet worden. Auch wurden keine Zwangsvollstreckungs- oder ähnliche Maßnahmen in das Vermögen oder einzelne Vermögensgegenstände des Anbieters beantragt oder eingeleitet. Es bestehen keine Umstände, denen zufolge die Eröffnung solcher Verfahren gerechtfertigt wäre. Insbesondere ist der Anbieter nicht überschuldet oder zahlungsunfähig und es liegt auch kein Fall drohender Zahlungsunfähigkeit oder Überschuldung vor. Der Anbieter hat weder seine Zahlungen eingestellt noch Schuldenbereinigungsabkommen oder ähnliche Vereinbarungen mit Gläubigern abgeschlossen oder angeboten.
- 6.
Die in [Anlage 3] dargestellte Übersicht über die gesellschaftsrechtlichen Beteiligungsverhältnisse des Anbieters („Beteiligungsstruktur“) ist richtig und vollständig.
(1) Der Anbieter hat alle vertraglichen Leistungen selbst zu erbringen und muss alle vom Mauterheber gestellten Vorgaben zu jedem Zeitpunkt vollständig erfüllen. Soweit sich der Anbieter für die Erfüllung seiner vertraglichen Verpflichtungen der Leistungen oder für die Erfüllung von Vorgaben Dritter bedient, hat er dies dem Mauterheber unverzüglich und unaufgefordert anzuzeigen. Wesentliche Änderungen bei der Inanspruchnahme von Leistungen Dritter sind dem Mauterheber unverzüglich und unaufgefordert bekannt zu geben.
(2) Der Anbieter haftet für das Tun oder Unterlassen Dritter, derer er sich für die Erbringung der vertraglichen Leistung oder zur Erfüllung der Vorgaben bedient, gegenüber dem Mauterheber in gleichem Umfang wie für eigenes Tun oder Unterlassen.
(3) Soweit sich der Anbieter für die Erbringung der vertraglichen Leistung oder zur Erfüllung der Vorgaben Dritter bedient, hat er sicherzustellen, dass auch diese alle Pflichten dieses Vertrages erfüllen und der Mauterheber ihnen gegenüber alle Rechte, die ihm nach diesem Vertrag gegenüber dem Anbieter zustehen, ausüben kann. Der Anbieter wird den Dritten zu diesem Zwecke die ihm gegenüber dem Mauterheber bestehenden Pflichten auferlegen. Der Anbieter haftet für die Einhaltung der den Dritten aufzuerlegenden Pflichten gegenüber dem Mauterheber. Dies gilt nicht, soweit weder der Dritte noch der Anbieter die Pflichtverletzung zu vertreten haben.
(1) Die Auskehr der Mauteinnahmen erfolgt auf das Konto der Bundeskasse Trier-Deutsche Bundesbank Saarbrücken, IBAN DE81 5900 0000 0059 0010 20, BIC MARKDEF1590. Der anzugebende Verwendungszweck wird gesondert durch den Mauterheber mitgeteilt. Der Anbieter unterwirft sich gegenüber dem Mauterheber der sofortigen Vollstreckung nach Maßgabe des § 61 Verwaltungsverfahrensgesetz (VwVfG) in sein gesamtes Vermögen.
(2) Die Pflichten des Anbieters im Zusammenhang mit der Auskehr der Mauteinnahmen sowie den einzelnen Vorgaben zu Abrechnungswesen, Zahlungs- und Fakturierungsgrundsätzen in Bezug auf die Mauteinnahmen sind in den Vorgaben für das EETS-Gebiet BFStrMG festgelegt.
(3) Der Anbieter muss sicherstellen, dass die Zahlungsvorgänge zwischen ihm, seinen Nutzern und dem Mauterheber so ausgestaltet sind, dass in jedem Fall, auch im Fall der Insolvenz oder drohender Insolvenz des Anbieters oder von ihm für die Erbringung der vertraglichen Leistung oder zur Erfüllung der Vorgaben Dritter, die Sicherheit der vollständigen Auskehr der Mauteinnahmen nicht gefährdet ist.
(1) Der Anbieter muss dem Mauterheber vor Abschluss dieses Vertrages eine Garantie einer Bank („Bankgarantie") oder ein gleichwertiges Finanzinstrument übergeben. Diese hat in Höhe der erwarteten Durchschnittssumme der pro Monat für das EETS-Gebiet BFStrMG insgesamt auszukehrenden Mauteinnahmen und Zahlungen gemäß § 19 Absatz 1 MautSysG zu sein. Für die Prognose wird ein Betrachtungszeitraum von 12 Monaten zugrunde gelegt. Die Bankgarantie oder das gleichwertige Finanzinstrument dienen der Sicherung aller Ansprüche des Mauterhebers aus oder im Zusammenhang mit diesem Vertrag. Sie müssen eine Zahlung auf erstes Anfordern vorsehen und in der Regel deutschem Recht unterliegen.
(2) Die Bankgarantie muss von einem Kreditinstitut gegeben werden, das seinen Sitz oder seine Niederlassung in der Europäischen Union oder in der EFTA hat. Das Kreditinstitut muss ein Investmentgrade-Rating für Langfristverbindlichkeiten von mindestens A3 (Moody’s) bzw. A- (S & P oder Fitch) aufweisen und für Kurzfristverbindlichkeiten von mindestens P2 (Moody’s) bzw. A-2 (S & P) bzw. F-2 (Fitch) aufweisen. Verschlechtert sich das Rating des Kreditinstituts während der Laufzeit der Bankgarantie, so dass die vorstehend genannten Mindestanforderungen nicht mehr erfüllt sind, ist der Anbieter verpflichtet, unverzüglich, spätestens aber innerhalb eines Monats nach Bekanntwerden des schlechteren Ratings, eine Bankgarantie eines Kreditinstituts, das die in diesem Absatz genannten Mindestvorgaben erfüllt, zu übergeben.
(3) Sofern ein anderes Finanzinstrument als eine Bankgarantie zur Sicherung der Mauteinnahmen vorgehalten wird, muss dieses einer Bankgarantie, die die genannten Kriterien in Absatz 2 erfüllt, gleichwertig sein. Ein Finanzinstrument ist nur gleichwertig, wenn es denselben Grad an Sicherheit wie eine Bankgarantie bietet. Dies kann insbesondere dann der Fall sein, wenn die Gesellschafter des Anbieters eine Kapitalintakthalteerklärung in Bezug auf den Anbieter abgeben und eine der zu besichernden Summe angemessene finanzielle Leistungsfähigkeit besitzen. Die Entscheidung über die Gleichwertigkeit steht im Ermessen des Bundesamtes für Logistik und Mobilität. Sofern sich während der Laufzeit des gleichwertigen Finanzinstruments die Umstände, insbesondere die finanzielle Leistungsfähigkeit des Ausstellers, ändern, kann der Mauterheber die Anpassung des gleichwertigen Finanzinstruments oder die Vorlage einer Bankgarantie gemäß Absatz 1 verlangen.
(4) Die Bankgarantie oder das gleichwertige Finanzinstrument muss vom Anbieter in deutscher Sprache oder in einer amtlich beglaubigten Übersetzung übergeben werden. Die Laufzeit der Bankgarantie oder des gleichwertigen Finanzinstruments muss mindestens 12 Monate betragen. Die Bankgarantie muss sich nach zeitlichem Ablauf automatisch erneuern („revolvierende Bankgarantie“). Sollte die Bankgarantie oder die Laufzeit des gleichwertigen Finanzinstruments befristet sein, ist der Anbieter verpflichtet, spätestens sechs Kalendermonate vor Ablauf des Geltungszeitraums eine Verlängerung der Bankgarantie oder des gleichwertigen Finanzinstruments vorzulegen.
(5) Der Anbieter muss die Höhe der Bankgarantie oder des gleichwertigen Finanzinstruments mindestens alle 12 Monate an die von ihm in den vorausgegangenen 12 Monaten im Durchschnitt pro Monat für das EETS-Gebiet BFStrMG insgesamt auszukehrenden Mauteinnahmen sowie Zahlungen nach § 19 Absatz 1 dieses Vertrages anpassen. Der Anbieter muss die Bankgarantie oder das gleichwertige Finanzinstrument innerhalb von zwei Wochen nach Aufforderung durch den Mauterheber anpassen, wenn die vom Anbieter für das EETS-Gebiet BFStrMG im Monat auszukehrenden Mauteinnahmen sowie Zahlungen nach § 19 Absatz 1 dieses Vertrages in sechs aufeinander folgenden Monaten im Durchschnitt pro Monat den Wert übersteigen, der der Berechnung der Höhe der Bankgarantie oder des gleichwertigen Finanzinstruments zugrunde gelegt worden ist. Das gleiche gilt, wenn die vom Anbieter für das EETS-Gebiet BFStrMG im Monat auszukehrenden Mauteinnahmen sowie Zahlungen nach § 19 Absatz 1 dieses Vertrages zehn Prozent des Wertes übersteigen, der der Berechnung der Höhe der Bankgarantie oder des gleichwertigen Finanzinstruments zugrunde gelegt worden ist. Auf Verlangen des Mauterhebers muss der Anbieter die Bankgarantie oder das gleichwertige Finanzinstrument auch dann anpassen, wenn sich die Mautsätze und die Mautpflicht, die der Berechnung der Höhe der Bankgarantie oder des gleichwertigen Finanzinstruments zugrunde gelegt wurden, ändern. Der Mauterheber bestimmt den Zeitpunkt, zu dem die angepasste Bankgarantie oder das gleichwertige Finanzinstrument vom Anbieter vorgelegt werden muss. Der Anbieter ist berechtigt, vom Mauterheber eine Anpassung der Bankgarantie oder des gleichwertigen Finanzinstruments zu verlangen, wenn die auszukehrenden Mauteinnahmen sowie Zahlungen nach § 19 Absatz 1 in sechs aufeinander folgenden Monaten im Durchschnitt pro Monat den Wert unterschreiten, der der Berechnung der Höhe der Bankgarantie oder des gleichwertigen Finanzinstruments zugrunde gelegt worden ist.
(6) Als Verlängerung im Sinne dieses Paragraphen gilt auch die Vorlage einer neuen Bankgarantie oder eines neuen gleichwertigen Finanzinstruments, wobei diese Bankgarantie oder dieses gleichwertige Finanzinstrument denselben Anforderungen genügen muss als wäre sie eine ursprüngliche Bankgarantie oder ein ursprüngliches gleichwertiges Finanzinstrument.
(1) Der Anbieter ist verpflichtet, für die im Rahmen dieses Vertrages ausgeführten Tätigkeiten auf eigene Kosten eine Betriebshaftpflichtversicherung mit mindestens den folgenden Inhalten abzuschließen und während der Laufzeit dieses Vertrages aufrecht zu erhalten:
- 1.
Betriebsbeschreibung: „Mauterhebung als EETS-Anbieter auf den Straßen des EETS-Mautgebiets BFStrMG inklusive aller betriebs- und branchenüblichen, betriebs- und branchennotwendigen und im Betrieb der Versicherungsnehmerin bestehenden Zusatzrisiken“,
- 2.
Deckung für gesetzliche Haftpflichtansprüche wegen Personen-, Sach- und daraus folgenden Vermögensschäden mit einer Deckungssumme von mindestens 15 Millionen Euro (in Worten: fünfzehn Millionen Euro) je Schadensfall. Der EETS-Anbieter muss sicherstellen, dass zu jeder Zeit ein ausreichender Versicherungsschutz im Sinne des Satz 1 besteht; dies gilt auch nach Eintritt eines Versicherungsfalles und der Inanspruchnahme der Versicherung.
(2) Errichtet oder betreibt der Anbieter im EETS-Gebiet BFStrMG straßenseitige Einrichtungen, ist er verpflichtet, die geschäftsüblichen Versicherungen abzuschließen und für die Dauer der Errichtung oder des Betriebs aufrecht zu erhalten. Die Versicherungen müssen Personen-, Sach- und daraus folgende Vermögensschäden abdecken. Die Mindestversicherungssumme für Versicherungen nach diesem Absatz beträgt 2,5 Millionen Euro (in Worten: zwei Millionen fünfhunderttausend Euro) je Schadensfall.
(3) Der Mauterheber kann eine Erhöhung der Versicherungssumme verlangen, wenn dies angesichts veränderter Schadensszenarien angemessen ist.
(4) Der Anbieter legt dem Mauterheber die Nachweise des Versicherungsabschlusses und des Versicherungsumfangs unverzüglich, unaufgefordert und in deutscher Sprache oder mit einer amtlichen beglaubigten Übersetzung vor. Dies gilt auch im Falle der Anpassung von Versicherungen.
(5) Die Ansprüche auf Leistungen aus den Versicherungen nach den Absätzen 1 und 2 tritt der Anbieter zur Sicherung der Haftungsansprüche des Mauterhebers an diesen ab. In den Versicherungen nach den Absätzen 1 und 2 ist vorzusehen, dass der Mauterheber vom Versicherer über etwaige Versicherungsleistungen an den Anbieter unmittelbar in Kenntnis gesetzt wird. Der Anbieter ist zum Einzug der Versicherungsleistungen berechtigt und verpflichtet sich, die Versicherungsleistung umgehend zur vollständigen Beseitigung und vollständigen Wiederherstellung der Funktionsfähigkeit des vom Schaden betroffenen Teils zu verwenden. Im Falle der Verletzung dieser Pflicht ist der Mauterheber zur Offenlegung der Abtretung und zum Widerruf der nach Satz 3 erteilten Einziehungsberechtigung berechtigt. Eine Abtretung oder Verpfändung von Versicherungsansprüchen an Dritte ist nur mit vorheriger Zustimmung des Mauterhebers zulässig.
Der Anbieter ist nicht berechtigt, ohne vorherige schriftliche Zustimmung des Mauterhebers Rechte aus diesem Vertrag an Dritte abzutreten oder zu verpfänden. Dies gilt auch für die schuldbefreiende Übernahme von Verpflichtungen des Anbieters aus diesem Vertrag durch Dritte sowie eine vollständige Vertragsübernahme dieses Vertrages vom Anbieter durch Dritte. Die Erteilung der Zustimmung steht im freien Ermessen des Mauterhebers.
(1) Dem Anbieter steht hinsichtlich der an den Mauterheber auszukehrenden Mauteinnahmen weder ein Aufrechnungs- noch ein Zurückbehaltungsrecht zu. Eine Aufrechnung oder Verrechnung der Ansprüche des Mauterhebers auf Auskehr von Mauteinnahmen oder Zahlung entsprechender Beträge mit Ansprüchen des Anbieters gegen den Mauterheber – insbesondere mit dem Vergütungsanspruch gemäß § 20 – ist nicht gestattet. Satz 1 und 2 gelten nicht für unbestrittene oder rechtskräftig festgestellte Forderungen des Anbieters gegen den Mauterheber.
(2) Dem Anbieter ist es untersagt, die dem Mauterheber zustehenden Mauteinnahmen zum Gegenstand einer Verpfändung oder Besicherung zu machen oder auf sonstige Weise mit Rechten Dritter zu belasten.
(1) Der Mauterheber wird den Anbieter nach Möglichkeit über relevante Änderungen des EETS-Registers sowie anderer Grundlagen für die Durchführung des EETS im EETS-Gebiet BFStrMG informieren. Dies entbindet den Anbieter nicht von der Pflicht, sich regelmäßig über solche Änderungen zu informieren und die Richtigkeit und Vollständigkeit der ihm zur Verfügung gestellten Informationen zu überprüfen.
(2) Der Mauterheber informiert den Anbieter über bevorstehende Änderungen
- 1.
am nationalen dualen Mauterhebungssystem,
- 2.
am Kontrollsystem,
- 3.
an dem vom nationalen Betreiber im Auftrag des Mauterhebers betriebenen Mauterhebungsdienst oder
- 4.
am EETS-Teilsystem eines anderen Anbieters, die direkt oder indirekt Auswirkungen auf das EETS-Teilsystem des Anbieters haben könnten.
Dies gilt insbesondere für Maßnahmen und Ereignisse, die dazu geeignet sind, die Zahl der Nutzer des Anbieters vorübergehend oder dauerhaft erheblich zu reduzieren.
(3) Unbeschadet besonderer Pflichten der Vertragsparteien, die sich aus diesem Vertrag oder aus den dem EETS zugrundeliegenden Rechtsvorschriften resultieren, arbeiten die Vertragsparteien zusammen, um Beeinträchtigungen des Lkw-Mautsystems (BFStrMG) und der Sicherheit der Mauteinnahmen abzuwenden oder unverzüglich in der erforderlichen Art und Weise zu beseitigen.
(4) Soweit für die Durchführung des EETS die Errichtung von baulichen Anlagen im EETS-Gebiet BFStrMG durch den Anbieter notwendig ist, wird der Mauterheber den Anbieter – soweit erforderlich – bei der Errichtung unterstützen. Die Kosten für die Planung, Genehmigung, Errichtung und den Betrieb baulicher Anlagen im EETS-Gebiet BFStrMG durch den Anbieter trägt der Anbieter. Eine Haftung des Mauterhebers im Zusammenhang mit der Errichtung und dem Betrieb baulicher Anlagen im EETS-Gebiet BFStrMG durch den Anbieter ist ausgeschlossen.
(5) Soweit vom Anbieter für die Durchführung des EETS der vom nationalen Betreiber im Auftrag des Mauterhebers betriebene Mauterhebungsdienst genutzt wird, gelten ergänzend folgende Mitwirkungspflichten des Mauterhebers:
- 1.
Der nationale Betreiber ermöglicht dem Anbieter die Anbindung an den Mauterhebungsdienst. Dies betrifft insbesondere die Übermittlung von Fahrspuren an den nationalen Betreiber über Schnittstelle 005 sowie die Übertragung der Informationen zu ermittelten mautpflichtigen Fahrten über die Schnittstelle 007R an den Anbieter.
- 2.
Der Mauterheber wird den Anbieter mindestens vier Wochen vor einer geplanten Nicht-Verfügbarkeit des Mauterhebungsdienstes über diese informieren.
- 3.
Der Mauterheber wird Reklamationen von Mautschuldnern, die ein Anbieter an den Mauterheber oder den nationalen Betreiber weiterleitet, bearbeiten, prüfen und beantworten sowie nach Möglichkeit entscheiden. Der Mauterheber bemüht sich, die Reklamationen unverzüglich, spätestens jedoch innerhalb von 14 Tagen nach Eingang zu bearbeiten und nach Möglichkeit zu entscheiden oder dem Anbieter zu antworten.
- 4.
Der Mauterheber wird den Anbieter im Falle von Fehlvergebührungen des Mauterhebungsdienstes, die dazu führen oder geführt haben, dass für Mautfahrten unrichtige Mautbeträge ermittelt und an Anbieter übermittelt wurden, unverzüglich über die Fehlvergebührung informieren und eine Liste übermitteln, aus der sich für jede Mautfahrt der korrekte Mautbetrag ergibt.
(1) Der Anbieter muss dem Mauterheber jede Änderung an seinem EETS-Teilsystem, die Auswirkung auf die Erfüllung der Vorgaben für das EETS-Gebiet BFStrMG haben kann, unverzüglich und unaufgefordert anzeigen.
(2) Der Anbieter muss dem Mauterheber jederzeit auf schriftliche Anfrage des Mauterhebers unverzüglich alle Daten zum Nachweis der Erfüllung der Vorgaben für das EETS-Gebiet BFStrMG und der sonstigen vertraglichen Pflichten übermitteln.
(3) Der Anbieter muss den Mauterheber unverzüglich und unaufgefordert über alle Änderungen im Zusammenhang mit den in § 3 dieses Vertrages gegebenen Zusicherungen informieren.
(4) Der Anbieter ist verpflichtet, dem Mauterheber jederzeit auf Anforderung Daten und Nachweise zur Identifizierung der natürlichen oder juristischen Personen, die einen bestimmenden Einfluss auf den Anbieter ausüben („wirtschaftlich Berechtigte"), zur Verfügung zu stellen. Hierzu zählen insbesondere natürliche oder juristische Personen, die unmittelbar oder mittelbar mindestens 25 Prozent der Kapitalanteile an dem Anbieter halten oder kontrollieren oder mindestens 25 Prozent von dessen Stimmrechten kontrollieren.
(5) Der Anbieter ist verpflichtet, dem Mauterheber alle Maßnahmen, insbesondere Anteilsübertragungen oder umwandlungsrechtliche Maßnahmen, die zu einer unmittelbaren oder mittelbaren Änderung eines wirtschaftlich Berechtigten führen, unverzüglich anzuzeigen.
(6) Der Anbieter ist verpflichtet, den Mauterheber unverzüglich über alle Maßnahmen oder Ereignisse zu informieren, die direkt oder indirekt Auswirkungen haben könnten
- 1.
auf das nationale duale Mauterhebungssystem,
- 2.
das Kontrollsystem,
- 3.
den vom nationalen Betreiber im Auftrag des Mauterhebers betriebenen Mauterhebungsdienst oder
- 4.
das EETS-Teilsystem des Mauterhebers.
(1) Der Anbieter muss dem Mauterheber oder einer von diesem benannten Stelle zur Überwachung der Einhaltung der Vorgaben und der vertraglichen Pflichten des Anbieters nach vorheriger Ankündigung und während der üblichen Geschäftszeiten uneingeschränkten Zutritt zu seinen Geschäftsräumen und sonstigen Einrichtungen gewähren.
(2) Der Anbieter muss dem Mauterheber oder einer von diesem benannten Stelle nach vorheriger Ankündigung und während der üblichen Geschäftszeiten Einsicht in alle Daten gewähren, die zur Überwachung der Einhaltung der Vorgaben für das EETS-Gebiet BFStrMG und der vertraglichen Pflichten des Anbieters erforderlich sind.
(3) Der Anbieter muss die Rechte nach den Absätzen 1 und 2 auch dem Bundesministerium der Finanzen, dem Bundesrechnungshof und sonstigen staatlichen Stellen einräumen, soweit diese im Rahmen ihrer Befugnisse tätig werden.
(4) Der Anbieter muss in Verträgen mit Dritten im Sinne von § 4 gemäß den Absätzen 1 und 2 entsprechende Zutritts-, Einsichts- und Zugriffsrechte zugunsten des Mauterhebers, einer von diesem beauftragten Stelle, dem Bundesministerium der Finanzen, dem Bundesrechnungshof und sonstigen staatlichen Stellen vereinbaren.
|
 |
(1) Der Anbieter stellt sicher, dass er bei der Durchführung des EETS jederzeit alle Anforderungen des Datenschutzes erfüllt. Dazu gehören insbesondere die europarechtlichen Anforderungen und die spezialgesetzlichen Anforderungen des MautSysG, des BFStrMG und – soweit das MautSysG und das BFStrMG keine abschließende Regelung treffen – ergänzend die Bestimmungen des Bundesdatenschutzgesetzes (BDSG) sowie die Bestimmungen der Verordnung (EU) 2016/679 des Europäischen Parlaments und des Rates vom 27. April 2016 zum Schutz natürlicher Personen bei der Verarbeitung personenbezogener Daten, zum freien Datenverkehr und zur Aufhebung der Richtlinie 95/46/EG (ABl. L 119 vom 4.5.2016, S. 1; L 314 vom 22.11.2016, S. 72; L 127 vom 23.5.2018, S. 2; L 74 vom 4.3.2021, S. 35) (Datenschutz-Grundverordnung). Diese Verpflichtung des Anbieters gegenüber dem Mauterheber gilt unabhängig davon, ob der Anbieter selbst in den Anwendungsbereich solcher Datenschutzbestimmungen fällt. Die Pflicht des Anbieters zur Einhaltung anwendbarer nationaler Datenschutzbestimmungen anderer Staaten bleibt unberührt. Im Zweifel sind das MautSysG, das BFStrMG und - soweit das MautSysG und das BFStrMG keine abschließende Regelung treffen - ergänzend die Bestimmungen des BDSG sowie - soweit anwendbar - weitere spezialgesetzliche deutsche oder supranationale Datenschutzvorschriften die Bestimmungen der Datenschutz-Grundverordnung, neben anderen nationalen Datenschutzbestimmungen einzuhalten.
(2) Die Art und Weise der Sicherstellung der Einhaltung datenschutzrechtlicher Anforderungen ist in dem der Gebrauchstauglichkeitsbescheinigung für den Anbieter zugrunde gelegten Datenschutzkonzept des Anbieters zu dokumentieren.
(3) Soweit sich der Anbieter bei der Einrichtung, Durchführung oder Beendigung des EETS eines Dritten bedient, verpflichtet er sich unabhängig davon, in welchem Land dieser Dritte ansässig ist oder seine Leistungen erbringt, dafür zu sorgen, dass die vom Anbieter einzuhaltenden datenschutzrechtlichen Anforderungen gemäß Absatz 1 auch von dem Dritten eingehalten werden. § 4 bleibt unberührt.
(4) Soweit der Anbieter während des laufenden Betriebs als Teil seiner Gesamtflotte eine permanente Nutzerreferenzflotte betreibt, ist er verpflichtet, Erklärungen seiner Nutzer einzuholen und dem Mauterheber vorzulegen, wonach diese darin einwilligen, dass die Daten zu den Fahrspuren zu Analyse- und Qualitätssicherungszwecken 120 Tage lang aufbewahrt und verarbeitet werden.
(5) Die Regelungen dieses Paragraphen gelten auch im Falle der Beendigung dieses Vertrages fort.
(1) Zum Zwecke des elektronischen Austauschs der für die Durchführung des EETS erforderlichen Daten wird der Mauterheber den Anbieter über die für den Austausch erforderlichen System- und Schnittstellenspezifikationen in Kenntnis setzen, soweit der Anbieter über diese Daten nicht bereits aufgrund des EETS-Prüfverfahrens verfügt.
(2) Der Anbieter wird seine Datensysteme und -schnittstellen so ausgestalten, dass auf der Grundlage der vom Mauterheber zur Verfügung gestellten Spezifikationen zu jeder Zeit und uneingeschränkt ein verlustfreier, sicherer Datenaustausch möglich ist. Die Sicherheit der Datenübermittlung ist in dem der Gebrauchstauglichkeitsbescheinigung für den Anbieter zugrunde gelegten Datensicherheitskonzept des Anbieters dokumentiert.
(3) Der Mauterheber wird dem Anbieter im Wege der elektronischen Datenübermittlung die für die Durchführung des EETS erforderlichen Daten zugänglich machen und während der Durchführung des EETS durch den Anbieter aktualisieren und ergänzen. Dies betrifft insbesondere die für die Mauterhebung erforderlichen Datensätze und Kodierungen.
(4) Der Anbieter verpflichtet sich, während der gesamten Vertragslaufzeit und bis zu dem Zeitpunkt, in dem die Daten mit Zustimmung des Mauterhebers gemäß § 15 unwiderruflich gelöscht werden, sicherzustellen, dass der Schutz der personenbezogenen und personenbeziehbaren Daten den Anforderungen von § 13 entspricht. Der Anbieter wird darüber hinaus jederzeit die erforderlichen technischen und organisatorischen Sicherheitsmaßnahmen nach dem aktuellen Stand der Technik ergreifen, um die seinem Zugriff unterliegenden Daten, Prozesse und Systeme sowie den Datenaustausch mit dem Mauterheber zu schützen, so dass jederzeit hinsichtlich Vertraulichkeit, Verfügbarkeit und Integrität der Daten, Prozesse und Systeme ein dem im Einzelfall festgestellten Schutzbedarf entsprechender Schutz vor technischer oder organisatorischer Kompromittierung gewährleistet ist. Vom jeweils höchsten Schutzbedarf ist auszugehen für alle Vorgänge, die
- 1.
personenbezogene und personenbeziehbare Daten und
- 2.
den Datenaustausch oder Systemberührungen mit dem Mauterheber betreffen.
Der Anbieter verpflichtet sich insbesondere, jederzeit die erforderlichen technischen und organisatorischen Sicherheitsmaßnahmen einzusetzen, um alle beteiligten Daten, Systeme und Prozesse zu schützen, zu überwachen und bei Kenntnis eines realisierten oder potentiellen Verlustes der Vertraulichkeit, Verfügbarkeit oder Integrität von Daten, Systemen, oder Prozessen (insgesamt „Sicherheitsvorfälle") den Mauterheber unverzüglich zu informieren und unverzüglich in der jeweils erforderlichen Art und Weise zu reagieren, so dass insbesondere der Sicherheitsvorfall ausgeräumt oder seine Auswirkungen sowie damit verbundene Schäden und Beeinträchtigungen des Mauterhebers oder Dritter weitestmöglich begrenzt und reduziert werden.
(5) Der Mauterheber kann verlangen, auf Veranlassung des Anbieters das Informationsschutz-Management-System des Anbieters im Rahmen eines Audits von einem externen Sachverständigen prüfen zu lassen.
(6) Der Anbieter haftet dem Mauterheber für jegliche mittelbaren und unmittelbaren Schäden, die dem Mauterheber aufgrund von Sicherheitsvorfällen aus dem Verantwortungsbereich des Anbieters entstehen; dies gilt nicht, soweit der Anbieter die Pflichtverletzung nicht zu vertreten hat. Die Haftung schließt die dem Mauterheber entgangenen Mauteinnahmen ein. Der Anbieter übernimmt zudem die Kosten einer Wiederinstandsetzung, Reparatur oder sonstigen Überprüfung des Systems des Mauterhebers, des nationalen Betreibers und der von ihm betriebenen Kontrolleinrichtungen, anderer Anbieter und sonstiger Dritter, sowie des vom nationalen Betreiber im Auftrag des Mauterhebers betriebenen Mauterhebungsdienstes, die aufgrund von Sicherheitsvorfällen aus dem Verantwortungsbereich des Anbieters entstanden sind. Sollten aufgrund von Sicherheitsvorfällen aus dem Verantwortungsbereich des Anbieters Dritte Ansprüche gegenüber dem Mauterheber geltend machen, stellt der Anbieter den Mauterheber gemäß § 25 im dort geregelten Umfang von diesen Ansprüchen frei.
(7) Die Regelungen dieses Paragraphen gelten auch nach Beendigung dieses Vertrages fort.
(1) Der Anbieter verpflichtet sich, alle im Zusammenhang mit der Einrichtung, Durchführung und Beendigung des EETS erstellten oder erlangten vertraulichen Daten, die zur uneingeschränkten Überprüfung der Leistungen des Anbieters und vollständigen Erhebung, Vereinnahmung und Auskehr der Maut an den Mauterheber erforderlich sind, entsprechend den gesetzlichen Bestimmungen, insbesondere den Datenschutzanforderungen gemäß §13 und der Bundeshaushaltsordnung, aufzubewahren.
(2) Der Anbieter verpflichtet sich, die vertraulichen Daten in einer Weise aufzubewahren, dass sie von Dritten nicht eingesehen, verändert, kopiert, entwendet oder vernichtet werden können. Der Anbieter wird zu diesem Zweck die erforderlichen technischen und organisatorischen Sicherheitsmaßnahmen ergreifen, um einen Zugriff auf vertrauliche Daten durch Dritte verlässlich auszuschließen. Zur Absicherung gegen Datenverluste nimmt der Anbieter kontinuierlich Sicherungskopien der relevanten Daten vor.
(3) Auf Verlangen des Mauterhebers wird der Anbieter dem Mauterheber die vertraulichen Daten in geeigneter Form zugänglich machen. Auf Verlangen des Mauterhebers wird dies in elektronischer Form geschehen. Der Mauterheber ist berechtigt, das Datenformat für die Übermittlung der Daten nach billigem Ermessen festzulegen. Der Anbieter ist verpflichtet, auch in diesem Fall die in diesem Vertrag im Übrigen geregelten Bestimmungen zur Datensicherheit einzuhalten.
(4) Der Anbieter wird die vertraulichen Daten einschließlich aller Sicherungskopien vor Ablauf der gesetzlich maximal zulässigen Aufbewahrungsfristen nur mit Zustimmung des Mauterhebers vernichten oder löschen und dabei insbesondere gewährleisten, dass die Vertraulichkeit im Sinne des § 16 jederzeit eingehalten wird und Dritte auch nach Vernichtung oder Löschung keinen Zugang zu diesen Daten erlangen. Soweit die Vernichtung oder Löschung von Daten erforderlich ist, wird der Anbieter dies in einer Weise vornehmen, die eine Wiederherstellung der Daten technisch ausschließt, die vorgenommenen Maßnahmen dokumentieren und sie auf Verlangen dem Mauterheber nachweisen.
(5) Sollten entgegen den Verpflichtungen dieses Paragraphen vertrauliche Daten abhandenkommen, kopiert werden oder sonst unberechtigt eingesehen werden, haftet der Anbieter dem Mauterheber für die daraus entstehenden Schäden und stellt die Freistellungsberechtigten gemäß § 25 im dort geregelten Umfang von allen Ansprüchen Dritter frei. Dies gilt nicht, soweit er die Pflichtverletzung nicht zu vertreten hat.
(6) Der Anbieter muss auf Verlangen des Mauterhebers vertrauliche Daten im Sinne des § 16, die der Mauterheber ihm zur Verfügung gestellt hat, an diesen zurückgeben, sobald sie für die Durchführung des EETS nicht mehr erforderlich sind. Soweit eine Rückgabe nach Art der Daten nicht möglich ist, sind diese nachweislich in der in Absatz 4 Satz 2 beschriebenen Weise zu löschen oder zu vernichten. Dies gilt nicht, soweit vom Anbieter ein berechtigtes Interesse an der Aufbewahrung der vertraulichen Daten im Hinblick auf eine spätere Rekonstruktion bei Streitfällen dargelegt wird. In diesem Falle sind die Daten zurückzugeben oder nachweislich zu löschen, wenn sie für diesen Zweck nicht mehr erforderlich sind.
(7) Für die Regelungen dieses Paragraphen gelten § 16 Absätze 3 und 8 entsprechend.
(8) Die Regelungen dieses Paragraphen gelten auch im Falle der Beendigung dieses Vertrages fort.
(1) Anbieter und Mauterheber werden alle Daten, die ihnen im Zusammenhang mit der Einrichtung, Durchführung und Beendigung des EETS von der anderen Vertragspartei direkt oder indirekt zugänglich gemacht werden oder die ihnen in diesem Zusammenhang auf sonstige Weise zur Kenntnis gelangt sind („vertrauliche Daten"), vertraulich behandeln und sie Dritten nicht zugänglich machen. Vertrauliche Daten sind auch solche Daten, die Anbieter oder Mauterheber selbst im Zusammenhang mit dem EETS erstellt oder erhoben haben und die mit dem EETS, den ihm zugrundeliegenden Parametern, den technischen Spezifikationen, wirtschaftlichen Vorgaben oder den Vertragsparteien selbst in Verbindung stehen.
(2) Die vertraulichen Daten dürfen von den Vertragsparteien ausschließlich für den Zweck der Durchführung des EETS und dieses Vertrages verwendet werden.
(3) Nicht als Dritte im Sinne dieses Paragraphen gelten auf Seiten des Anbieters solche Personen, die
- 1.
mit Aufgaben befasst sind, die im Zusammenhang mit diesem Vertrag oder der Durchführung des EETS stehen und/oder bestimmungsgemäß mit der Erfüllung der nach diesem Vertrag gegenüber dem Mauterheber geschuldeten Verpflichtungen beschäftigt sind,
- 2.
gegenüber dem Anbieter zur Vertraulichkeit, insbesondere auch bezüglich der vertraulichen Daten, verpflichtet sind und
- 3.
die vertraulichen Daten zur Ausführung der ihnen zugewiesenen Aufgaben benötigen.
Die Weiterreichung an mit dem Anbieter im Konzernverbund stehende Unternehmen („Konzernunternehmen“) ist nur gestattet, sofern und soweit dies zur konzerninternen Prüfung erforderlich ist und den beteiligten Konzernunternehmen vollumfänglich die nach diesem Abschnitt bestehende Vertraulichkeitsverpflichtung auferlegt worden ist.
(4) Der Anbieter führt eine Liste der Personen in Konzernunternehmen, die Zugang zu vertraulichen Daten haben und legt diese dem Mauterheber jederzeit auf sein Verlangen vor.
(5) Der Anbieter ist verpflichtet, Personen, die Zugang zu vertraulichen Daten haben, in gleichem Umfang und unter Androhung einer dem gefährdeten Rechtsgut angemessenen, spürbaren Vertragsstrafe mit unmittelbarer Wirkung zu Gunsten des Mauterhebers Vertraulichkeitsverpflichtungen aufzuerlegen und dies auf Verlangen des Mauterhebers unverzüglich nachzuweisen.
(6) Der Anbieter ist verpflichtet, dafür Sorge zu tragen, dass die Konzernunternehmen die Verpflichtung nach Absatz 5 ebenfalls erfüllen.
(7) Der Anbieter steht für die Einhaltung der ihm hiernach auferlegten und den Personen und Konzernunternehmen aufzuerlegenden Vertraulichkeitsverpflichtung ein.
(8) Nicht als Dritte im Sinne dieses Paragraphen gelten auf Seiten des Mauterhebers solche Personen, die
- 1.
mit Aufgaben befasst sind, die im Zusammenhang mit diesem Vertrag oder der Durchführung des EETS in sonstiger Weise stehen und/oder bestimmungsgemäß mit der Erfüllung der nach diesem Vertrag dem Mauterheber obliegenden Verpflichtungen beschäftigt sind,
- 2.
gegenüber dem Mauterheber zur Vertraulichkeit, insbesondere auch bezüglich der vertraulichen Daten, verpflichtet sind und
- 3.
die vertraulichen Daten zur Ausführung der ihnen obliegenden Aufgaben benötigen.
(9) Nicht als vertrauliche Daten gelten alle Daten, die zum Zeitpunkt der Weitergabe oder sonstigen Zugänglichmachung der Öffentlichkeit bereits nachweislich allgemein bekannt sind, ohne dass dies auf einer Verletzung dieser Vertraulichkeitsvereinbarung beruht.
(10) Eine Verletzung vertraglicher Vertraulichkeits- und Geheimhaltungsvereinbarungen durch eine Partei liegt nicht vor, wenn die jeweils andere Vertragspartei einer Veröffentlichung der konkreten vertraulichen Daten zuvor schriftlich zugestimmt hat.
(11) Gesetzliche Aufbewahrungs- oder Offenlegungspflichten bleiben unberührt.
(12) Die Anwendbarkeit der – auch strafrechtlichen – Bestimmungen des Bundesdatenschutzgesetzes (BDSG) und anderer Rechtsvorschriften zum Schutz der Vertraulichkeit und die Geltendmachung von Unterlassungs- sowie von weitergehenden Schadensersatzansprüchen des Mauterhebers bleiben von Vorstehendem unberührt.
(13) Die Regelungen dieses Paragraphen gelten auch im Falle der Beendigung dieses Vertrages fort.
|
 |
(1) Der Anbieter muss beim Betrieb seines EETS-Teilsystems die folgenden Qualitätsparameter erfüllen:
- 1.
Der Anbieter muss eine Erfassungsquote von mindestens 99,500 % erreichen. Mit der Erfassungsquote wird die Qualität der korrekten Mauterkennung für Befahrungen des mautpflichtigen Straßennetzes, bezogen auf den vom EETS-Anbieter zu verantwortenden Anteil der Mauterhebung, ermittelt.
- 2.
Der Anbieter muss eine DSRC-Quote von mindestens 98,500 % erreichen. Die DSRC-Quote wird durch die Messung der korrekten DSRC Kommunikation der EETS-Fahrzeuggeräte mit den Kontrolleinrichtungen des Mauterhebers ermittelt, wobei alle abrechnungsrelevanten Daten (Fahrzeugparameter und Vertragsparameter) korrekt und vollständig übermittelt werden müssen.
- 3.
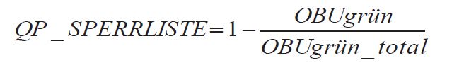
Der Anbieter muss eine Sperrlistenquote von mindestens 99,900 % erreichen. Die Sperrlistenquote bestimmt sich aus der Messung der Anzahl der Fahrzeuge, deren Bordgeräte die Erhebungsbereitschaft signalisieren (Zustand grün), jedoch auf der Sperrliste aufgeführt sind.
- 4.
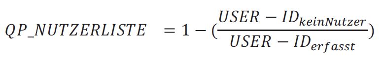
Der Anbieter muss eine Nutzerlistenquote von mindestens 99,900 % erreichen. Die Nutzerlistenquote wird aus der Messung der Qualität der Erstellung und Übermittlung der Nutzerliste vom Anbieter an den Mauterheber ermittelt.
- 5.
Der Anbieter muss eine Quote für abschnittsbezogene Erhebungsdaten, die nicht vom Mauterhebungsdienst des Mauterhebers erzeugt wurden, von mindestens 99,000 % erreichen. Die Quote für abschnittsbezogene Erhebungsdaten wird durch die Messung der Korrektheit und Rechtzeitigkeit der Übermittlung von abschnittsbezogenen Erhebungsdaten (ABED) vom Anbieter an den Mauterheber bestimmt.
- 6.
Der Anbieter, der den Mauterhebungsdienst nutzt, muss eine Quote für Fahrspuren von mindestens 99,000 % erreichen. Die Quote für Fahrspuren wird durch die Messung der Korrektheit und Rechtzeitigkeit der Übermittlung von Fahrspuren über die Schnittstelle 005 vom Anbieter an den Mauterhebungsdienst bestimmt.
Die Einzelheiten zur Messung und Bewertung der einzelnen Qualitätsparameter sind in den Qualitätsparametern für EETS-Anbieter (Anlage 5) geregelt.
(2) Der Anbieter ermöglicht dem Mauterheber oder von ihm beauftragten Dritten Zugang zu den Räumlichkeiten und technischen Systemen, um Audits über die ordnungsgemäße Einhaltung der Gebietsvorgaben durchzuführen.
Die Einzelheiten zu den Auditbestimmungen sind in den Qualitätsparametern für EETS-Anbieter (Anlage 5) geregelt.
(1) Der Anbieter ist verantwortlich für die Richtigkeit und Vollständigkeit der von ihm übermittelten Datenobjekte und trägt das Risiko für die fehlerhafte und unvollständige Übermittlung der Datenobjekte an den Mauterheber. Die Datenobjekte gelten vom Anbieter an den Mauterheber als übermittelt, wenn der Mauterheber den Empfang der Datenobjekte elektronisch quittiert hat.
(2) Der Mauterheber ist verantwortlich für die Richtigkeit und Vollständigkeit der von ihm übermittelten Datenobjekte und trägt das Risiko für die fehlerhafte und unvollständige Übermittlung der Datenobjekte an den Anbieter. Die Verpflichtung des Anbieters, die ihm übermittelten Datenobjekte auf Vollständigkeit und Richtigkeit zu überprüfen, bleibt hiervon unberührt. Hätte der Anbieter die Unrichtigkeit oder Unvollständigkeit der ihm übermittelten Datenobjekte erkennen können, entfällt die Verantwortung des Mauterhebers.
(1) Der Anbieter haftet gegenüber dem Mauterheber für die im EETS-Gebiet BFStrMG geschuldete Maut der Nutzer, die er dem Mauterheber in seinen Nutzerlisten nach § 4j BFStrMG gemeldet hat oder hätte melden müssen. Die Haftung umfasst auch die nach § 8 BFStrMG geschuldete Maut, sofern der Nutzer diese nicht entrichtet („Mautausfallhaftung“).
(2) Die Haftung des Anbieters nach Absatz 1 gilt verschuldensunabhängig und unabhängig davon, ob Nutzer des Anbieters oder Dritte die ihnen im Rahmen des EETS obliegenden Pflichten nicht erfüllt haben. Ansprüche des Anbieters gegen seine Nutzer oder Dritte bleiben hiervon unberührt.
(3) Die Haftung des Anbieters für die geschuldete Maut eines Nutzers nach Absatz 1 endet erst, nachdem der Anbieter
- 1.
das Bordgerät dieses Nutzers gesperrt hat und
- 2.
dieses Bordgerät auf der Liste gesperrter Bordgeräte („Sperrliste“) nach § 26 MautSysG eingetragen und dem Mauterheber diese Liste übermittelt hat. Die maximale Zeit zwischen den Übermittlungen zweier aufeinander folgender Listen darf 24 Stunden nicht überschreiten.
Die Haftung nach Absatz 1 entfällt nicht für weitere Bordgeräte, die der Anbieter dem Mauterheber in seinen Nutzerlisten nach § 4j BFStrMG für diesen Nutzer gemeldet hat.
(4) Der Anbieter darf ein Bordgerät erst auf die Sperrliste setzen, wenn er das Bordgerät gesperrt hat. Der Anbieter muss seinen Nutzer auf geeignete Weise über die Sperrung des Bordgerätes informieren. Das Bordgerät muss dem Nutzer im Fall der Sperrung anzeigen, dass es nicht erhebungsbereit ist. Der Anbieter muss ein Bordgerät von der Sperrliste entfernen, wenn er das Bordgerät wieder entsperrt hat.
(1) Der Mauterheber zahlt dem Anbieter eine Vergütung, deren Bestandteile und ihre jeweiligen Höhen für die jeweilige Vergütungsperiode in den Regelungen zur Vergütung [Anlage 9], Ziffer 1 geregelt sind.
(1a) Der Mauterheber kann die Auszahlung der Änderungspauschale für ein Änderungsvorhaben im Fall der Überschreitung der Umsetzungsfrist des Änderungsvorhabens aussetzen bis das Änderungsvorhaben umgesetzt ist. Liegen dem Mauterheber gesicherte Erkenntnisse vor, dass der Anbieter Änderungsvorhaben, für die er eine Änderungspauschale nach Ziffer 2.3 der Anlage 9 dieses Vertrages erhält, nicht innerhalb der vom Mauterheber festgesetzten Frist umsetzen wird, kann er bereits ab Vorliegen dieser Erkenntnisse die Auszahlung der Änderungspauschale für dieses Änderungsvorhaben aussetzen. Nach erfolgter tatsächlicher Umsetzung des Änderungsvorhabens wird die einbehaltene Änderungspauschale ausgezahlt und gegebenenfalls mit der Vertragsstrafe gemäß § 27 Absatz 3b dieses Vertrages verrechnet.
(2) Die Vergütung wird vor Ablauf der jeweiligen Vergütungsperiode gemäß den Regelungen zur Vergütung [Anlage 9], Ziffer 2 überprüft. § 31 dieses Vertrags gilt entsprechend.
(1) Der Anbieter hat zur Abrechnung der Vergütung nach § 20 dieses Vertrages eine kalendermonatliche, prüffähige Rechnung entsprechend den nachfolgenden Absätzen auszustellen. Die Abrechnung der Vergütung erfolgt erstmalig in dem Kalendermonat, der auf den Kalendermonat folgt, in dem der Beginn der Vertragslaufzeit liegt.
(2) Bis spätestens zum 15. des auf den jeweils abzurechnenden Kalendermonat folgenden Kalendermonats muss eine die Anforderungen dieses Vertrages erfüllende Rechnung dem Mauterheber zugegangen sein.
(3) Der Mauterheber ist berechtigt, die nach § 27 dieses Vertrages verwirkten Vertragsstrafen mit den Vergütungsansprüchen der folgenden Kalendermonate aufzurechnen.
(4) Die Bestandteile der Vergütung nach den Regelungen zur Vergütung [Anlage 9], Ziffer 1 sind in der Rechnung separat auszuweisen.
(5) Die nach den Regelungen zur Vergütung [Anlage 9], Ziffer 1.3 durch den Mauterheber mitgeteilten Erstattungsbeträge sowie die vom Anbieter ausgekehrten Verzugszinsen sind in der Rechnung separat auszuweisen.
(6) Die Zahlung der Vergütung an den Anbieter erfolgt auf das jeweils in der Rechnung anzugebene Konto des Anbieters.
(1) Alle Rechnungen müssen den zum Zeitpunkt der Ausstellung der Rechnung geltenden Bestimmungen des deutschen Umsatzsteuergesetzes (insbesondere den §§ 14, 14a UStG) entsprechen. Ist der Rechnungsempfänger zur Akzeptanz von Rechnungen in bestimmter Form nur dann verpflichtet, wenn diese weitere gesetzliche Anforderungen oder Vorgaben aus Rechtsverordnungen erfüllen, sind diese Mindestanforderungen bei der Wahl der jeweiligen Rechnungsform vom Rechnungsaussteller zu berücksichtigen. Erfüllt eine Rechnung die vorgenannten Anforderungen nicht, ist der Rechnungsempfänger berechtigt, die betroffene Rechnung zurückzuweisen.
(2) Der Anbieter verpflichtet sich, Rechnungen ausschließlich als elektronische Rechnungen im XRechnungs-XML-Format über den Zentralen Rechnungseingang des Bundes an den Mauterheber zu richten. Rechnungen, die entgegen Satz 1 nicht elektronisch gestellt werden, begründen keine Fälligkeit nach § 286 Absatz 3 BGB.
(3) Alle Rechnungen sind in einer Form zu erstellen, die dem Rechnungsempfänger eine Prüfung mit zumutbarem Aufwand ermöglicht. Die jeweilige Rechnung muss insbesondere eine leicht prüfbare und aussagekräftige Beschreibung der abzurechnenden Leistungen enthalten. Die für den Rechnungsempfänger zur Prüfung der jeweiligen Rechnung notwendigen Informationen, Unterlagen und Daten (z.B. Mengenberechnungen.) sind beizufügen.
(4) Alle Rechnungen sind an den folgenden Rechnungsempfänger zu richten:
Bundesamt für Logistik und Mobilität Werderstr. 34 50672 Köln
|
Umsatzsteuer-Identifikationsnummer: DE811763109
|
(stets auf allen Rechnungen anzugeben).
|
Dies gilt nicht, sofern der Mauterheber dem Anbieter schriftlich einen anderen Rechnungsempfänger mitgeteilt hat.
(5) Der Mauterheber ist jederzeit berechtigt, aus sachlichen Gründen weitere Formerfordernisse für die Rechnungsstellung aufzustellen, die der Anbieter zu beachten hat.
(6) Der Mauterheber wird Rechnungen innerhalb einer Frist von 30 Tagen ab Zugang prüfen. Die vorstehende Frist beginnt für jede Rechnung erst dann zu laufen, wenn der Anbieter dem Mauterheber alle zur Prüfung der jeweiligen Rechnung erforderlichen Informationen, Unterlagen oder Daten zur Verfügung gestellt hat. Fehlen aus Sicht des Mauterhebers zur Prüfung der Rechnung wesentliche, erforderliche Informationen, Unterlagen und Daten, so wird er dies dem Anbieter mitteilen. Ergibt die Prüfung der Rechnung, dass diese nicht ordnungsgemäß ist oder Fehler oder sonstige Unstimmigkeiten bestehen, wird der Mauterheber solche Einwendungen gegen die jeweilige Rechnung dem Anbieter schriftlich innerhalb der Prüfungsfrist nach den Sätzen 1 und 2 mitteilen. Maßgeblich für die Fristwahrung ist der Zugang beim Anbieter. Sollte der Anbieter mit den vom Mauterheber erhobenen Einwendungen nicht einverstanden sein, hat er innerhalb von vier Wochen nach Zugang der Einwendungen darzulegen, weshalb er mit den Einwendungen des Mauterhebers nicht einverstanden ist und dies näher zu begründen, anderenfalls gelten die Einwendungen des Mauterhebers als anerkannt.
(7) Die abgerechneten Zahlungsansprüche des Anbieters werden nur insoweit zur Zahlung fällig, wie der Mauterheber innerhalb der in Absatz 6 genannten Frist keine Einwendungen erhebt oder solche Einwendungen durch eine einvernehmliche Regelung der Vertragsparteien oder bindende Entscheidung entsprechend den Vorgaben des § 33 oder gemäß Absatz 6 erledigt werden. Erhebt der Mauterheber nur gegen einen Teil der jeweiligen Rechnung Einwendungen, so ist der unstrittige Teil nach Ablauf der Prüfungsfrist gemäß Absatz 6 zur Zahlung fällig.
(8) Gerät der Mauterheber mit der Zahlung von Vergütungsansprüchen des Anbieters in Verzug, hat der Mauterheber Verzugszinsen nach § 288 Absatz 1 Satz 2 BGB zu zahlen.
(1) Der Mauterheber kann auch nach Vertragsabschluss vom Anbieter die erneute Durchführung des Verfahrens zur Feststellung der Gebrauchstauglichkeit verlangen, wenn
- 1.
der Anbieter Änderungen an seinem EETS-Teilsystem vornimmt, die Auswirkungen auf die Gebrauchstauglichkeit haben können,
- 2.
der Mauterheber Änderungen an seinem EETS-Teilsystem oder am EETS-Gebiet BFStrMG vornimmt, die Auswirkungen auf die Gebrauchstauglichkeit haben können,
- 3.
der nationale Betreiber des Mautsystems Änderungen am Mautsystem oder am Mauterhebungsdienst vornimmt, die Auswirkungen auf die Gebrauchstauglichkeit haben können,
- 4.
bei der Durchführung des EETS im EETS-Gebiet BFStrMG nachhaltige technische Probleme auftreten,
- 5.
das Verfahren zur Feststellung der Gebrauchstauglichkeit wesentlich geändert wird oder
- 6.
bei begründetem Verdacht des Mauterhebers auf Nichterfüllung der Vorgaben durch den Anbieter.
(2) Mit Zustimmung des Mauterhebers kann der Anbieter das erneute Verfahren zur Feststellung der Gebrauchstauglichkeit auf einzelne Bestandteile des EETS-Teilsystems des Anbieters begrenzen.
(3) Der Anbieter trägt die Kosten für die erneute Durchführung des Verfahrens der Gebrauchstauglichkeit. Dies gilt nicht, wenn Änderungen im System des Mauterhebers, im System des nationalen Betreibers oder im Mauterhebungsdienst ursächlich für die erneute Durchführung der Gebrauchstauglichkeit sind. Das Entgelt bestimmt sich nach der Entgeltordnung der Anlage 6.
(4) Das Recht des Mauterhebers zur Kündigung dieses Vertrages bleibt durch die Regelungen dieses Paragraphen unberührt.
(1) Der Anbieter haftet bei Verletzung gesetzlicher oder vertraglicher Verpflichtungen nach den allgemeinen gesetzlichen Bestimmungen für Vorsatz und Fahrlässigkeit. Er haftet zudem für die Rückwirkungsfreiheit der von ihm verwendeten Systeme und eingebrachten Komponenten im Hinblick auf die ungestörte Funktion der Systeme des Mauterhebers sowie des Mauterhebungsdienstes, des nationalen Betreibers und der von ihm betriebenen Kontrolleinrichtungen, anderer Anbieter und sonstiger Dritter. Soweit der Anbieter in diesem Vertrag explizit oder aus den Umständen ersichtlich eine Einstandspflicht übernommen hat, insbesondere in Form von Zusicherungen oder Garantien, haftet er dem Mauterheber auch verschuldensunabhängig.
(2) Für das Tun oder Unterlassen seiner Arbeitnehmer, freien Mitarbeiter, gesetzlichen Vertreter, des eingesetzten Personals und seiner Erfüllungsgehilfen (einschließlich aller Unterauftragnehmer und Unter-Unterauftragnehmer) sowie deren Arbeitnehmer, freie Mitarbeiter, eingesetztes Personal und gesetzliche Vertreter, haftet der Anbieter gegenüber dem Mauterheber in gleichem Umfang wie für eigenes Tun oder Unterlassen. Soweit der Anbieter in diesem Vertrag explizit oder aus den Umständen ersichtlich eine Einstandspflicht übernommen hat, haftet er unabhängig davon, ob die in Satz 1 genannten Personen die Verletzung vertraglicher Pflichten zu vertreten haben. Soweit dem Mauterheber aufgrund der Verletzung vertraglicher Pflichten durch die in Satz 1 genannten Personen ein Schadensersatzanspruch gegen den Anbieter zusteht, tritt der Anbieter etwaige gegenüber diesen Personen bestehende Ansprüche auf Aufforderung des Mauterhebers erfüllungshalber an diesen ab. § 278 Satz 2 Bürgerliches Gesetzbuch (BGB) ist ausgeschlossen.
(3) Der Anbieter steht dem Mauterheber für die Richtigkeit der von ihm in diesem Vertrag gegebenen Zusicherungen ein.
(4) Der Mauterheber haftet nur für Schäden des Anbieters aus der Verletzung des Lebens, des Körpers, der Gesundheit, aus der Verletzung wesentlicher Vertragspflichten sowie darüber hinaus für sonstige Schäden, die auf einer vorsätzlichen oder grob fahrlässigen Pflichtverletzung des Mauterhebers, seiner gesetzlichen Vertreter oder Erfüllungsgehilfen beruhen. Wesentliche Vertragspflichten sind solche, die zur Erreichung des Vertragsziels notwendig sind. Im Übrigen ist die Haftung des Mauterhebers ausgeschlossen. Für die vorsätzliche oder fahrlässige Verletzung wesentlicher Vertragspflichten haftet der Mauterheber nur auf den vertragstypischen, vorhersehbaren Schaden. Dies gilt nicht, wenn es sich um Schadenersatzansprüche des Anbieters aus einer Verletzung des Lebens, des Körpers oder der Gesundheit handelt. Wenn Ansprüche direkt gegen die gesetzlichen Vertreter und Erfüllungsgehilfen des Mauterhebers geltend gemacht werden, gelten die Einschränkungen der Sätze 1 bis 5 auch für diese.
(5) Ansprüche des Anbieters gegen den Mauterheber wegen des Abschlusses von EETS-Verträgen mit anderen Anbietern sind ausgeschlossen. Der Mauterheber haftet dem Anbieter nicht für Schäden, die diesem mittelbar oder unmittelbar durch die Tätigkeit anderer Anbieter entstanden sind, unabhängig davon, ob der andere Anbieter hierbei gesetzliche oder vertragliche Verpflichtungen verletzt hat.
(6) Der Mauterheber haftet nicht für eine Einschränkung oder Schäden des Anbieters
- 1.
aufgrund von Maßnahmen des Baus, Betriebs, der Reparatur oder der Unterhaltung von Straßen des mautpflichtigen Straßennetzes,
- 2.
aufgrund von Änderungen, Beschränkungen oder Einschränkungen des mautpflichtigen Streckennetzes,
- 3.
aus der Bereitstellung und Durchführung der EETS-Mauterkennung für Anbieter durch einen dritten Dienstleister. Davon ausgenommen ist die Erbringung des Mauterhebungsdienstes durch den nationalen Betreiber im Auftrag des Mauterhebers.
(7) Das Recht des Mauterhebers, wegen der Verletzung von Pflichten aus dieser Vereinbarung Vertragsstrafen zu erheben, bleibt von der Regelung dieses Paragraphen unberührt.
(1) Der Anbieter stellt den Mauterheber, die beim Mauterheber beschäftigten oder eingesetzten Personen sowie die vom Mauterheber im Zusammenhang mit dem EETS hinzugezogenen oder beschäftigten Personen und Unternehmen, („Freistellungsberechtigte") vollumfänglich von allen Ansprüchen frei, die Dritte, einschließlich anderer Anbieter, im Zusammenhang mit der Durchführung des EETS durch den Anbieter gegen die Freistellungsberechtigten geltend machen und die auf der Verletzung von vertraglichen oder gesetzlichen Pflichten des Anbieters beruhen. Der Freistellungsanspruch erfasst auch alle Schäden und Kosten, die den Freistellungsberechtigten in Folge der Inanspruchnahme durch Dritte im Sinne dieses Absatzes entstehen.
(2) Der Anbieter wird dem Mauterheber im Fall der Inanspruchnahme den zur Befriedigung des geltend gemachten Anspruchs erforderlichen Betrag zur Verfügung stellen. Sollten Anbieter und Mauterheber übereinstimmend davon ausgehen, dass die Ansprüche des Dritten unberechtigt geltend gemacht wurden, wird der Mauterheber etwaige Regressansprüche gegen den Dritten an den Anbieter abtreten.
(3) Die Freistellung des Mauterhebers nach Absatz 1 und die Zurverfügungstellung des Betrages an den Mauterheber nach Absatz 2 erfolgen auf erstes Anfordern.
(1) Der Anbieter hat keine Rechte in Bezug auf gewerbliche Schutzrechte und Urheberrechte („Schutzrechte") des Mauterhebers oder der Betreibergesellschaft. Soweit nachfolgend nicht ein anderes geregelt ist, werden an den Anbieter unter diesem Vertrag keine Schutzrechte lizenziert.
(2) Sollten beim Anbieter im Zusammenhang mit der Errichtung und dem Betrieb des EETS-Systems Schutzrechte bestehen oder entstehen, deren Nutzung für den Mauterheber im Zusammenhang mit der Erbringung des EETS im EETS-Gebiet BFStrMG von praktischer Bedeutung ist, räumt der Anbieter dem Mauterheber bereits jetzt ab dem Zeitpunkt der Entstehung dieser Schutzrechte ein einfaches Nutzungsrecht einschließlich des Rechts zur Unterlizenzierung für das EETS-Gebiet BFStrMG, in dem zeitlichen und inhaltlichen Umfang ein, der für das Verhältnis zwischen Anbieter und Mauterheber erforderlich ist. Soweit es sich um Schutzrechte Dritter handelt, steht der Anbieter dafür ein, dass er zur Unterlizenzierung berechtigt ist.
(3) Soweit beim Mauterheber im Zusammenhang mit der Errichtung und dem Betrieb des EETS-Systems Schutzrechte entstehen, deren Nutzung für den Anbieter im Zusammenhang mit der Erbringung des EETS im EETS-Gebiet BFStrMG erforderlich ist, hat der Anbieter einen Anspruch auf Einräumung eines einfachen Nutzungsrechts für das EETS-Gebiet BFStrMG, in dem zeitlichen und inhaltlichen Umfang, der für das Verhältnis zwischen Anbieter und Mauterheber erforderlich ist. Eine Unterlizenzierung bedarf der vorherigen schriftlichen Genehmigung des Mauterhebers. Der Anbieter haftet dem Mauterheber verschuldensunabhängig für eine Verletzung der Pflicht gemäß Satz 2.
(1) Der Anbieter verwirkt eine Vertragsstrafe jeweils in Höhe von 25 000 Euro, wenn er schuldhaft
- 1.
entgegen § 4 Absatz 1 dieses Vertrages eine Anzeige gegenüber dem Mauterheber unterlassen hat,
- 2.
einen Versicherungsnachweis gemäß § 7 dieses Vertrages nicht, nicht rechtzeitig oder nicht vollständig vorlegt,
- 3.
entgegen § 11 Absatz 3 dieses Vertrages den Mauterheber nicht oder nicht rechtzeitig informiert,
- 4.
dem Mauterheber Informationen nach § 11 Absatz 4 nicht zur Verfügung stellt,
- 5.
dem Mauterheber Änderungen nach § 11 Absatz 5 nicht anzeigt oder
- 6.
die von ihm errichteten straßenseitigen Einrichtungen nicht oder nicht ordnungsgemäß nach § 29 Absatz 3 entsorgt.
Im Fall von Nummer 6 wird die Vertragsstrafe für jeden Tag verwirkt, an dem der Anbieter seine vertraglichen Pflichten nicht erfüllt.
(2) Der Anbieter verwirkt eine Vertragsstrafe jeweils in Höhe von 75 000 Euro, wenn er schuldhaft
- 1.
gegen Bestimmungen zum Datenschutz gemäß § 13 verstößt,
- 2.
gegen Bestimmungen zur Datensicherheit gemäß § 14 verstößt,
- 3.
gegen die Bestimmungen zur Aufbewahrung von vertraulichen Unterlagen gemäß § 15 dieses Vertrages verstößt oder
- 4.
gegen die Bestimmungen zur Geheimhaltung und Vertraulichkeit gemäß § 16 dieses Vertrages verstößt.
(3) Der Anbieter verwirkt eine Vertragsstrafe jeweils in Höhe von 15 % der monatlichen Vergütung gemäß § 20, mindestens aber in Höhe von 100 000 Euro, wenn er schuldhaft
- 1.
entgegen § 9 dieses Vertrages eine Verrechnung der an den Mauterheber auszukehrenden Mauteinnahmen vornimmt oder die dem Mauterheber zustehenden Mauteinnahmen zum Gegenstand einer Verpfändung oder Besicherung macht oder auf sonstige Weise mit Rechten Dritter belastet,
- 2.
entgegen § 11 Absatz 1 dieses Vertrages dem Mauterheber erhebliche Änderungen an seinem EETS-Teilsystem nicht anzeigt,
- 3.
entgegen § 11 Absatz 2 dieses Vertrages dem Mauterheber die von diesem angeforderten Daten nicht oder nicht rechtzeitig übermittelt,
- 4.
entgegen § 12 dieses Vertrages einer in § 12 genannten Stelle den uneingeschränkten Zutritt oder die Einsicht in Daten verweigert,
- 5.
entgegen § 12 Absatz 4 Verträge mit Dritten abschließt, ohne die Rechte nach § 12 zugunsten des Mauterhebers zu vereinbaren,
- 6.
entgegen § 8 dieses Vertrages eine Zustimmung des Mauterhebers nicht oder nicht rechtzeitig einholt,
- 7.
entgegen § 29 Absatz 1 nach Beendigung dieses Vertrages die Maut nicht vollständig auskehrt oder dem Mauterheber die für die Überprüfung nach § 29 Absatz 2 benötigten Daten nicht zur Verfügung stellt oder
- 8.
entgegen § 30 dieses Vertrages Bordgeräte nicht oder nicht rechtzeitig sperrt.
In den Fällen der Nummern 7 und 8 wird die Vertragsstrafe für jeden Tag verwirkt, an dem der Anbieter seine vertraglichen Pflichten nicht erfüllt.
(3a) Der Anbieter verwirkt eine Vertragsstrafe jeweils in Höhe von 500 Euro wenn er dem Mauterheber Informationen oder Unterlagen, die der Mauterheber für die Umsetzung der Regelungen dieser Vereinbarung benötigt, nicht innerhalb oder verspätet zu der vom Mauterheber in Textform gesetzten Frist bereitstellt. Eine Vertragsstrafe wird nicht verwirkt, wenn der Anbieter einen anderen Bereitstellungstermin für die Informationen oder Unterlagen anbietet und der Mauterheber dies akzeptiert. Sollte der Mauterheber die Verschiebung des Bereitstellungstermins akzeptieren, wird bei Nichteinhaltung des Bereitstellungstermins die Vertragsstrafe aus Satz 1 verwirkt.
(3b) Der Anbieter verwirkt eine Vertragsstrafe in Höhe von 1 000 Euro, wenn er eine technische oder prozessuale Änderung, für die er eine Änderungspauschale nach Ziffer 2.3 der Anlage 9 dieses Vertrages erhält, nicht innerhalb der vom Mauterheber festgesetzten Frist umsetzt. Nach Ablauf der vom Mauterheber gesetzten Frist wird die Vertragsstrafe für jeden Tag verwirkt, an dem der Anbieter seine vertraglichen Pflichten nicht erfüllt.
(4) Der Anbieter verwirkt bei Unterschreitung der in Anlage 5 festgelegten Qualitätsparameter Vertragsstrafen. Die Voraussetzungen für das Verwirken der Vertragsstrafe, die Höhe der jeweiligen Vertragsstrafe pro Verstoß sowie der bei ihrer Ermittlung jeweils zugrunde zulegende Betrachtungszeitraum, für den eine Vertragsstrafe verwirkt wird, ergeben sich aus den Vorgaben in Anlage 5.
(5) Die Summe der Vertragsstrafen nach den Absätzen 1 bis 5 darf einen Betrag in Höhe von 10 % der jährlichen Vergütung des Anbieters für das EETS-Gebiet BFStrMG pro Jahr – mindestens aber in Höhe von 50 000 Euro – nicht überschreiten. Von der Regelung in Satz 1 sind die folgenden Vertragsstrafen ausgenommen:
- 1.
die Vertragsstrafe, die der Anbieter beim Unterschreiten des Qualitätsparameters „Erfassungsquote EQ_nonMED“ gemäß Ziffer 3.1.2, bzw. „Erfassungsquote_MED“ gemäß Ziffer 3.2.2, der Anlage 5 dieses Vertrages verwirkt,
- 2.
die Vertragsstrafe nach § 27 Absatz 3b. Die Summe der Vertragsstrafe nach § 27 Absatz 3b darf einen Betrag in Höhe des Gesamtanspruchs auf Änderungspauschale für ein Änderungsvorhaben für die jeweilige Vergütungsperiode gemäß Ziffer 2.3 der Anlage 9 dieses Vertrages nicht überschreiten.
(6) Die Vertragsstrafe ist auf erstes schriftliches Anfordern des Mauterhebers unverzüglich auszuzahlen.
(7) Der Mauterheber ist berechtigt, Vertragsstrafen auch nach Beendigung dieses Vertrages geltend zu machen.
(8) Sonstige Ansprüche des Mauterhebers, insbesondere auf Erfüllung, auf Schadensersatz oder auf Beendigung dieses Vertrages bleiben unberührt. Vertragsstrafen werden auf Schadensersatzansprüche angerechnet, wenn und soweit sie auf demselben Sachverhalt beruhen.
(9) Weder mit der Entgegennahme von Leistungen noch durch die Zahlung der Vergütung oder sonstige Zahlungen im Zusammenhang mit diesem Vertrag verzichtet der Mauterheber auf eine verwirkte oder künftige Vertragsstrafe.
(1) Der Vertrag tritt zum (Datum) in Kraft und wird auf unbestimmte Zeit geschlossen. Der Anbieter wird den EETS für das EETS-Gebiet BFStrMG zum vorgenannten Datum in Dienst stellen.
(2) Der Anbieter ist zur ordentlichen Kündigung dieses Vertrages mit einer Frist von sechs Monaten zum Monatsende berechtigt.
(3) Der Mauterheber ist zur Kündigung dieses Vertrages ohne Einhaltung einer Frist berechtigt, wenn ein wichtiger Grund vorliegt. Ein wichtiger Grund liegt insbesondere vor, wenn dem Mauterheber unter Berücksichtigung aller Umstände des Einzelfalls und unter Abwägung der beiderseitigen Interessen die Fortsetzung des Vertragsverhältnisses bis zur vereinbarten Beendigung oder bis zum Ablauf einer Kündigungsfrist nicht zugemutet werden kann, insbesondere
- 1.
weil die Registrierung des Anbieters gemäß § 4 MautSysG oder bei der zuständigen Behörde eines anderen Mitgliedstaates der Europäischen Union oder eines anderen Vertragsstaates des Abkommens über den Europäischen Wirtschaftsraum weggefallen ist oder die sachlichen Voraussetzungen hierfür vorliegen,
- 2.
die Prüfung der Zulassungsvoraussetzungen nach § 10 Absatz 2 Satz 1 MautSysG ergeben hat, dass diese nicht vorliegen und nicht geschaffen werden können,
- 3.
die vom Anbieter im Rahmen von § 3 dieses Vertrages gemachten Angaben unkorrekt oder unvollständig gewesen sind,
- 4.
durch den Wechsel des wirtschaftlich Berechtigten beim Anbieter wesentliche Interessen der Bundesrepublik Deutschland beeinträchtigt werden,
- 5.
der Anbieter in nicht unerheblicher Weise gegen seine Verpflichtungen nach § 5 dieses Vertrages verstößt,
- 6.
der Anbieter seine Verpflichtungen aus § 6 dieses Vertrages nicht erfüllt oder ein als Bankgarantie oder gleichwertiges Finanzinstrument gestelltes Instrument unwirksam oder undurchsetzbar ist oder wird oder ohne Ersatz endet,
- 7.
der Anbieter nicht nur vorübergehend den Versicherungsschutz nach § 7 dieses Vertrages nicht oder in nicht ausreichender Weise besitzt oder nicht nachweist,
- 8.
der Mauterheber seine nach § 8 dieses Vertrages erforderliche Zustimmung endgültig verweigert hat,
- 9.
der Anbieter in nicht unerheblicher Weise gegen seine Verpflichtungen aus § 9 dieses Vertrages verstößt,
- 10.
der Anbieter wiederholt und in nicht unerheblicher Weise gegen seine Verpflichtungen aus § 11 dieses Vertrages verstößt,
- 11.
der Anbieter wiederholt und in nicht unerheblicher Weise gegen seine Verpflichtungen aus § 12 dieses Vertrages verstößt,
- 12.
der Anbieter in nicht unerheblicher Weise gegen seine Verpflichtungen zur Gewährleistung des Datenschutzes gemäß § 13 dieses Vertrages verstößt,
- 13.
der Anbieter in nicht unerheblicher Weise gegen seine Verpflichtungen zur Gewährleistung der Datensicherheit gemäß § 14 dieses Vertrages verstößt,
- 14.
der Anbieter wiederholt und in nicht unerheblicher Weise gegen seine Verpflichtungen aus § 15 dieses Vertrages verstößt,
- 15.
der Anbieter wiederholt und in nicht unerheblicher Weise gegen seine Verpflichtungen aus § 16 dieses Vertrages verstößt; ein wichtiger Grund liegt auch dann vor, wenn es sich um einen einmaligen, besonders schwerwiegenden Verstoß gegen die Verpflichtung zur Geheimhaltung handelt,
- 16.
der Anbieter eine EETS-Erfassungsquote von 95,000 % innerhalb eines Kalenderjahres in mehr als zwei Monaten oder in zwei aufeinanderfolgenden Monaten unterschreitet,
- 17.
der Anbieter eine DSRC-Quote von 96,000 % innerhalb eines Kalenderjahres in mehr als zwei Monaten oder in zwei aufeinanderfolgenden Monaten unterschreitet,
- 18.
der Anbieter Nutzerlisten gemäß § 4j BFStrMG wiederholt nicht, nicht rechtzeitig oder nicht vollständig überträgt,
- 19.
der Anbieter wiederholt und in nicht unerheblichem Umfang entgegen § 19 Bordgeräte auf die Sperrliste setzt, bevor er diese gesperrt hat,
- 20.
der Anbieter sich weigert, das Verfahren zur Feststellung der Gebrauchstauglichkeit gemäß § 23 dieses Vertrages erneut durchzuführen, oder das Verfahren nicht zu einer Feststellung der Gebrauchstauglichkeit führt,
- 21.
der Anbieter entgegen § 12 Absatz 1 MautSysG seine Verpflichtung innerhalb von 36 Monaten nach seiner Registrierung Zulassungsverträge über alle mautpflichtigen Streckennetze mit elektronischen Mautsystemen im Anwendungsbereich der Richtlinie (EU) 2019/520 in mindestens vier Mitgliedstaaten der Europäischen Union abzuschließen, nicht erfüllt oder seine Verpflichtung zur Wiederherstellung der Abdeckung der mautpflichtigen Streckennetze nicht erfüllt,
- 22.
aufgrund von Rechtsänderungen auf nationaler oder europäischer Ebene die Grundlagen der Mauterhebung im EETS-Gebiet BFStrMG oder die Grundlagen für die Indienststellung des EETS wegfallen oder
- 23.
der Anbieter wiederholt und in nicht unerheblicher Weise gegen die Vorgaben für das EETS-Gebiet BFStrMG verstößt; ein wichtiger Grund liegt auch dann vor, wenn es sich um einen einmaligen, besonders schwerwiegenden Verstoß gegen die Vorgaben für das EETS-Gebiet BFStrMG handelt.
(4) Die Kündigung dieses Vertrages ist durch schriftliche Erklärung auszusprechen und ist der jeweils anderen Vertragspartei per Einschreiben / Rückschein zuzustellen.
(1) Der Anbieter ist auch nach Beendigung dieses Vertrages verpflichtet, die von seinen Nutzern im EETS-Gebiet BFStrMG geschuldete Maut an den Mauterheber vollständig auszukehren und sonstige bereits entstandene Ansprüche zu erfüllen. § 19 gilt entsprechend.
(2) Der Anbieter ist auch nach Beendigung dieses Vertrages verpflichtet, dem Mauterheber alle zur Überprüfung der vollständigen Erhebung der Maut und Auskehr der Mauteinnahmen benötigten Daten zur Verfügung zu stellen.
(3) Nach Beendigung dieses Vertrages muss der Anbieter von ihm errichtete straßenseitige Einrichtungen im EETS-Gebiet BFStrMG unverzüglich und auf eigene Kosten zurückbauen und umweltgerecht nach den jeweils geltenden Bestimmungen entsorgen. Auf Verlangen des Mauterhebers muss der Anbieter dem Mauterheber oder einem von ihm benannten Dritten die vom Mauterheber schriftlich bezeichneten straßenseitige Einrichtungen übertragen. Regelungen über die Kosten der Übernahme sind einer gesonderten Vereinbarung vorbehalten. Können sich die Parteien über die Kosten für die Übernahme nicht einigen, wird die Höhe der Kosten durch die Vermittlungsstelle nach den §§ 28 bis 30 MautSysG festgelegt.
Im Fall der Kündigung dieses Vertrages durch eine Vertragspartei muss der Anbieter alle von seinen Nutzern im Rahmen ihrer Vertragsverhältnisse mit dem Anbieter verwendeten Bordgeräte für die Nutzung im EETS-Gebiet BFStrMG spätestens bis zum Ablauf der Kündigungsfrist, bei fristloser Kündigung unverzüglich, sperren. Im Falle der Insolvenz oder drohender Insolvenz des Anbieters muss der Anbieter die Bordgeräte nach Satz 1 unverzüglich sperren.
(1) Der Anbieter ist verpflichtet, mit dem Mauterheber diejenigen Änderungen und Ergänzungen zu diesem Vertrag zu vereinbaren, die aufgrund von Änderungen des geltenden Rechts erforderlich sind. Stimmt der Anbieter den erforderlichen Vertragsanpassungen oder -ergänzungen nicht oder nicht innerhalb angemessener Frist zu, ist der Mauterheber zur Kündigung dieses Vertrages ohne Einhaltung einer Frist berechtigt. § 28 Absatz 4 gilt entsprechend.
(2) Unabhängig vom Wirksamwerden von Vertragsänderungen und -ergänzungen hat der Anbieter die sich aus der Änderung geltenden Rechts ergebenden Verpflichtungen zu erfüllen.
Wird einer Vertragspartei die Erfüllung einer ihr nach diesem Vertrag obliegenden Verpflichtung infolge höherer Gewalt oder anderer objektiv unabwendbarer Ereignisse zeitweise oder dauernd unmöglich, informiert sie die andere Vertragspartei unverzüglich schriftlich hierüber. Die betroffenen Rechte und Pflichten der Vertragsparteien ruhen für den entsprechenden Zeitraum. Das Recht zur Kündigung bleibt durch diese Regelung unberührt.
(1) Den Vertragsparteien steht es frei, im Falle von Streitigkeiten über den Inhalt oder die Auslegung dieses Vertrages die Vermittlungsstelle nach den §§ 28 bis 30 MautSysG anzurufen.
(2) Die Anrufung der Vermittlungsstelle hindert nicht die Inanspruchnahme von behördlichen oder gerichtlichen Rechtsschutzmöglichkeiten in der Bundesrepublik Deutschland oder der Europäischen Union.
(1) Dieser Vertrag und seine Auslegung unterliegen deutschem Recht unter Ausschluss der kollisionsrechtlichen Vorschriften und der United Nations Convention on the International Sales of Goods (UNCISG).
(2) Ausschließlicher Gerichtsstand ist Köln.
(1) Sämtliche Mitteilungen gemäß oder im Zusammenhang mit diesem Vertrag sind in Textform und in deutscher Sprache abzufassen und an die mit dem Mauterheber abgestimmten E-Mail-Adressen zu richten. Satz 1 gilt nicht für förmliche Zustellungen, diese sind schriftlich und in deutscher Sprache abzufassen.
(2) Förmliche Zustellungen an den Mauterheber in Zusammenhang mit diesem Vertrag sind an die folgende Anschrift zu richten:
Bundesamt für Logistik und Mobilität (BALM), Werderstraße 34, 50672 Köln (Empfangsberechtigter)
(3) Mitteilungen an den Anbieter im Zusammenhang mit diesem Vertrag sind an die mit dem Anbieter abgestimmten E-Mail-Adressen zu richten.
(4) Für förmliche Zustellungen an den Anbieter im Zusammenhang mit diesem Vertrag muss der Anbieter einen Zustellungsbevollmächtigten mit Sitz in der Bundesrepublik Deutschland nennen; ein Widerruf ist nur durch schriftliche Mitteilung und unter Benennung eines anderen Zustellungsbevollmächtigten mit Sitz in der Bundesrepublik Deutschland wirksam. Förmliche Zustellungen an den Anbieter sind an die folgende Anschrift zu richten:
(Zustellungsbevollmächtigter in der Bundesrepublik Deutschland).
(5) Die Vertragsparteien werden einander Änderungen der Anschriften nach den Absätzen 2 bis 4, insbesondere in der Person des Zustellungsbevollmächtigten oder des Empfangsberechtigten, unverzüglich mitteilen.
Änderungen und Ergänzungen dieses Vertrages bedürfen der Schriftform, soweit nicht eine notarielle Beurkundung gesetzlich erforderlich ist. Dies gilt auch für die Aufhebung des Schriftformerfordernisses. Die Anwendung von § 126 Absatz 3 BGB ist ausgeschlossen. Sämtliche Änderungen und Ergänzungen sind in deutscher Sprache abzufassen.
Sollten einzelne Bestimmungen dieses Vertrags unwirksam oder undurchführbar sein, so berührt dies nicht die Wirksamkeit der übrigen Vertragsbestimmungen. Die unwirksame oder undurchführbare Bestimmung ist durch eine solche zu ersetzen, die dem entspricht, was die Parteien vereinbart hätten, wenn sie die Unwirksamkeit oder Undurchführbarkeit bei Abschluss dieses Vertrags erkannt hätten.
Unterschriften
(Fundstelle: BAnz AT 29.10.2021 V2)
Zusatzvereinbarungzwischen
der Bundesrepublik Deutschland, vertreten durch das Bundesministerium für Digitales und Verkehr (BMDV), dieses vertreten durch das Bundesamt für Logistik und Mobilität (BALM), Werderstraße 34, 50672 Köln, dieses wiederum vertreten durch seinen Präsidenten
- Mauterheber –
und
(Name Anbieter), (Adresse Anbieter), vertreten durch (Vertretung Anbieter), (registriert gemäß Artikel 4 der Richtlinie (EU) 2019/520 in …) (Nachweis der Registrierung)
- Anbieter -
Inhaltsverzeichnis
- 1
Vorbemerkung
- 2
Schnittstellen – Übermittlungsfristen
- 3
Bereitstellung von EETS-Fahrzeuggeräten
- 4
Technischer Service Desk des Mauterhebers und des EETS-Anbieters
1 VorbemerkungDiese Zusatzvereinbarung ergänzt den Vertrag über die Durchführung des Europäischen elektronischen Mautdienstes auf Bundesfernstraßen im Geltungsbereich des Bundesfernstraßenmautgesetzes (EETS-Zulassungsvertrag). In der in § 1 Absatz 2 des EETS-Zulassungsvertrags in Bezug genommenen EEMD-Gebietsvorgabenverordnung sind in Anlage 1 Nummer 2 Schnittstellen benannt, über die das Teilsystem des EETS-Anbieters verfügen muss und die gemäß den Vorgaben des Mauterhebers zu bedienen sind. Vorgaben für die Schnittstellen mit IT-Unterstützung stellt der Mauterheber durch die entsprechenden Spezifikationen der Datenobjekte und der jeweiligen Schnittstellen zur Übertragung der Datenobjekte öffentlich zur Verfügung (Schnittstellenspezifikationen).
2 Schnittstellen - ÜbermittlungsfristenDie untenstehenden Übermittlungsfristen zu den genannten Schnittstellen gelten unmittelbar und ergänzen die Schnittstellenspezifikation SST 001 und konkretisieren einige der in den Spezifikationen genannten Richtwerte der Schnittstellenspezifikationen SST 001, 002, 005, 006, 007 und 008.
SST 001, Sperrliste (Dokument 4.3.2_EETS_SST_001, Kapitel Kommunikationsabläufe): Die Übertragung der EETS-Sperrliste (Sperrliste) vom EETS-Anbieter an den Mauterheber erfolgt periodisch. Das Zeitintervall, nach dem eine erneute Übertragung stattfinden muss, beträgt maximal 24 Stunden.
Die Häufigkeit wird über den Parameter „SST001-Aufruffrequenz“ angegeben (Übermittlung einmal pro Tag). Dadurch ist gewährleistet, dass die aktuellen Sperrinformationen zeitnah weiterverarbeitet werden können.
SST 002a, Nutzerlisten (Dokument 4.3.3_EETS_SST_002, Kapitel Kommunikationsabläufe): Die Nutzerliste (Userlist) wird periodisch an das EETS-Teilsystem des Mauterhebers übermittelt. Die Häufigkeit der Übertragung ist über den Parameter „SST002a-Aufruffrequenz“ (Übermittlung aufgrund der großen Datenmengen frühestens alle vier Stunden und spätestens alle 24 Stunden, um die Aktualität der Daten zu gewährleisten) gegeben.
SST 005, Fahrspurdaten (Dokument 4.3.14_EETS_SST_005, Kapitel Kommunikationsabläufe): Der EETS Anbieter soll für Bordgeräte, die den Mauterhebungsdienst des Mauterhebers nutzen, regelmäßig die Fahrspurdaten übertragen, wobei die Häufigkeit über den Parameter „SST005 Aufruffrequenz“ (Übermittlung alle zwei Stunden) gegeben ist. Dies gilt auch, wenn die maximale Anzahl für ein Transaktions-Paket noch nicht erreicht ist. Die Zeitdauer zwischen Befahrung des EETS-Gebiets BFStrMG, das heißt der Zeitpunkt, zu dem das EETS-Bordgerät eine Position erfasst hat, und dem Eingang der Fahrspurdaten beim Mautbetreiber ist durch den Parameter "SST005 Übermittlungsfrist" (maximal 72 Stunden) gegeben.
SST 006, abschnittsbezogene Erhebungsdaten (Dokument 4.3.4_EETS_SST_006, Kapitel Kommunikationsabläufe): Der EETS-Anbieter soll für Bordgeräte, die den Mauterhebungsdienst des Mauterhebers nicht nutzen, regelmäßig die abschnittsbezogenen Erhebungsdaten übertragen, wobei die Häufigkeit über den Parameter „SST006-Aufruffrequenz“ (Übermittlung alle 24 Stunden) gegeben ist. Dies gilt auch, wenn die maximale Anzahl für ein Transaktions-Paket noch nicht erreicht ist. Die Zeitdauer zwischen Befahrung eines mautpflichtigen Abschnitts und dem Eingang der entsprechenden abschnittsbezogenen Erhebungsdaten beim Mauterheber ist durch den Parameter "SST006-Übermittlungsfrist" (maximal 72 Stunden) gegeben.
SST 007, Mautbuchungsnachweise (Dokument 4.3.5_EETS_SST_007, Kapitel Kommunikationsabläufe): Der EETS-Anbieter soll für Bordgeräte, die den Mauterhebungsdienst des Mauterhebers nicht nutzen, regelmäßig die Mautbuchungsnachweise übertragen, wobei die Häufigkeit über den Parameter „SST007-Aufruffrequenz“ (Übermittlung alle 24 Stunden) gegeben ist. Dies gilt auch, wenn die maximale Anzahl für ein Transaktions-Paket noch nicht erreicht ist. Die Zeitdauer zwischen erfolgreicher Übermittlung der abschnittsbezogenen Erhebungsdaten und dem Eingang der Mautbuchungsnachweise, in denen darauf referenziert wird, ist durch den Parameter "SST007-Übermittlungsfrist" (maximal 72 Stunden) gegeben.
SST 008, Tagesberichte (Dokument 4.3.6_EETS_SST_008, Kapitel Kommunikationsabläufe): Die Häufigkeit der Übermittlung des Tagesberichts ist über den Parameter „SST008-Aufruffrequenz“ (werktäglich) gegeben. Das gilt auch in den Fällen, in denen keine Auskehr vom EETS-Anbieter vorgenommen wurde. Dabei ist zu berücksichtigen, dass alle Berichte am auf den Stichtag folgenden Werktag übermittelt werden müssen. Die Zeitdauer zwischen Beginn des auf den Stichtag folgenden Werktages und Eingang des Tagesberichts beim Mauterheber ist durch den Parameter "SST008-Übermittlungsfrist" (maximal 15 Stunden) gegeben.
3 Bereitstellung von EETS-FahrzeuggerätenSofern der EETS-Anbieter durch den Mauterheber zugelassen wurde oder sich in der Phase 3 (Pilotbetrieb) befindet, muss er dem Mauterheber unaufgefordert 25 EETS-Fahrzeuggeräte, die jeweils den im Produktivsystem eingesetzten Software- und Hardwarestand aufweisen zur Verfügung stellen. Der Mauterheber wird die EETS-Fahrzeuggeräte dem nationalen Mautbetreiber (Toll Collect GmbH) bereitstellen, damit dieser sie bei Bedarf im Rahmen von Tests zur Sicherstellung der Rückwirkungsfreiheit der EETS-Fahrzeuggeräte auf die Kontrolleinrichtungen des nationalen Mautbetreibers und den Mauterhebungsdienst (MED) verwenden kann. Der EETS-Anbieter ist für die Wartung und Instandhaltung der EETS-Fahrzeuggeräte verantwortlich.
4 Technischer Service Desk des Mauterhebers und des EETS-AnbietersDer Mauterheber betreibt einen technischen Service Desk, der dem EETS-Anbieter über eine zentrale E-Mailadresse sowie telefonische Hotline zur Verfügung steht, um Störungen (Incidents), technische Probleme oder Auffälligkeiten in Bezug auf die Schnittstellen, die ausgetauschten Daten oder die Anbindung zwischen seinem System und den Systemen des Mauterhebers und des nationalen Mautbetreibers zu melden. Der Service Desk ist 24 Stunden an jedem Tag des Jahres erreichbar und wird Meldungen unverzüglich bearbeiten.
Der EETS-Anbieter muss dem Mauterheber ebenfalls einen Service Desk bereitstellen, um Störungen (Incidents) mit Bezug zu Schnittstellen, den ausgetauschten Daten oder der Anbindung zwischen dem System des Mauterhebers und des EETS-Anbieters telefonisch oder per E-Mail zu melden. Sollte eine Störung vom Mauterheber erkannt werden, aber keine Meldung an den EETS-Anbieters über die Störung möglich sein (zum Beispiel außerhalb von Geschäftszeiten, Nichterreichbarkeit), übernimmt der Mauterheber keine Haftung für Schäden oder Störungen in den Prozessen und Systemen des EETS-Anbieters, die aus einer unterlassenen oder verspäteten Bearbeitung der Störung durch den EETS-Anbieter resultieren.
(Fundstelle: BAnz AT 29.10.2021 V2)
Bankgarantie oder gleichwertiges Finanzinstrument[Beizufügen.]
(Fundstelle: BAnz AT 29.10.2021 V2)
Erklärung zur Beteiligungsstruktur des EETS-Anbieters[Beizufügen.]
(Fundstelle: BAnz AT 29.10.2021 V2)
Gebrauchstauglichkeitsbescheinigung[Beizufügen.]
(Fundstelle: BAnz AT 29.10.2021 V2)
Qualitätsparameter für EETS-AnbieterVertragliche Bestimmungen zur Messung und Bewertung der einzelnen Qualitätsparameter (QP)Inhaltsverzeichnis
- 1.
Vorbemerkungen
- 2.
Allgemeine Bestimmungen
- 3.
Bestimmungen zu den Qualitätsparametern
- 3.1
Erfassungsquote EQ_nonMED
- 3.1.1
Messdatenerhebung
- 3.1.2
Messdatenauswertung
- 3.2
Erfassungsquote EQ_MED
- 3.2.1
Messdatenerhebung
- 3.2.2
Messdatenauswertung
- 3.2.3
Kombinierte Erfassungsquote bei der Migration auf den MED
- 3.3
DSRC-Quote (QP_DSRCTRANS)
- 3.3.1
Messdatenerhebung und Messdatenauswertung
- 3.4
Sperrlistenquote (QP_SPERRLISTE)
- 3.4.1
Messdatenerhebung und Messdatenauswertung
- 3.5
Nutzerlistenquote (QP_NUTZERLISTE)
- 3.5.1
Messdatenerhebung und Messdatenauswertung
- 3.6
Quote für die abschnittsbezogenen Erhebungsdaten (QP_ABED)
- 3.7
Fahrspurquote (QP_FS)
- 3.8
Übermittlung von Mautbuchungsnachweisen
- 3.9
Übermittlung von Tagesberichten
- 4.
Bestimmungen zu den Audits
1. VorbemerkungDie folgenden Regelungen definieren vertragliche Bestimmungen für den Vertrag des Mauterhebers mit einem EETS-Anbieter hinsichtlich der Sicherstellung der Qualitätsanforderungen, die in den Gebietsvorgaben festgelegt wurden und das Leistungssoll beschreiben. Zur kontinuierlichen Überprüfung der Qualität des Systems des EETS-Anbieters werden täglich die Übertragung von Maut- und Auskehrdaten und die Einhaltung von Qualitätsparametern geprüft und ggf. auch Audits durchgeführt. Für EETS-Anbieter, die den vom nationalen Betreiber im Auftrag des Mauterhebers betriebenen Mauterhebungsdienst (MED) nutzen, gelten teilweise andere Qualitätsanforderungen als für EETS-Anbieter, die dies nicht tun. Auf diese Qualitätsanforderungen wird im Folgenden besonders hingewiesen.
2. Allgemeine Bestimmungen
- 1.
Der EETS-Anbieter hat dem Mauterheber jegliche Auskünfte in Zusammenhang mit den von ihm betriebenen Systemen zu erteilen, entsprechende Erklärungen und Berichte abzugeben und auf Aufforderung Dritte, die in die Zertifizierung oder den Betrieb der Qualitätssicherungs- und Qualitätsmanagementsysteme eingebunden sind, zum Beispiel weil sie Zertifizierungen durchführen, zur unbeschränkten, direkten Auskunft gegenüber dem Mauterheber und von ihm benannte Dritten zu verpflichten. Auf Aufforderung durch den Mauterheber hat der EETS-Anbieter Auditoren entsprechende – soweit aus Sicht des Mauterhebers erforderlich auch unbeschränkte – Einsicht in seine für die Erbringung der Leistung betriebenen Systeme, soweit diese zur Erfüllung der Gebietsvorgaben eingesetzt werden, zu gewähren.
- 2.
Der EETS-Anbieter erbringt gemäß seiner Verantwortlichkeit sein Leistungssoll qualitativ und quantitativ so vollständig, dass er die Erreichung der in diesem Vertrag vereinbarten Qualitätsanforderungen an die zu erbringende Leistung sicherstellt.
3. Bestimmungen zu den QualitätsparameternDie folgenden definierten Qualitätsparameter werden entsprechend dieser Anlage (Anlage 5 zum EETS-Zulassungsvertrag) berechnet und überwacht. In dieser Anlage und im EETS-Zulassungsvertrag § 27 „Vertragsstrafen“ und § 28 „Laufzeit und Beendigung des Vertrages“ werden konkret die Auswirkungen hinsichtlich der Erfüllung und Überschreitung bzw. Nicht-Erfüllung der Qualitätsparameter beschrieben und bestimmt.
Folgende Qualitätsparameter werden zur Überwachung der Erfüllung des Leistungssolls herangezogen.
3.1 Erfassungsquote EQ_nonMEDDie Erfassungsquote EQ_nonMED wird ausschließlich für EETS-Anbieter angewendet, die den Mauterhebungsdienst des Mauterhebers nicht nutzen.
Die Erfassungsquote EQ_nonMED dient der Bestimmung der Qualität der korrekten Erkennung befahrener Abschnitte des mautpflichtigen Straßennetzes.
Die Erfassungsquote EQ_nonMED berechnet sich wie folgt:
EQ = 0,9 * FM + 0,1 * FS
|
mit
|
FM (Fremdauslesung mobil): DSRC-Auslesungen mit mobilen Kontrolleinrichtungen
|
FS (Fremdauslesung stationär): DSRC-Auslesungen mit ortsgebundenen (stationären) Kontrolleinrichtungen
|
|
Für die Ermittlung der Teilquoten FM und FS gilt:
|
|
|
|
|
MFMkorrekt: Anzahl der in der Stichprobe mit mobilen Kontrollen erfassten korrekt vorgenommenen Mauterhebungen im automatischen Mauterhebungssystem.
|
|
MFMgesamt: Anzahl der in der Stichprobe mit mobilen Kontrollen erfassten korrekt und nicht korrekt vorgenommenen Mauterhebungen im automatischen Mauterhebungssystem.
|
|
MFSkorrekt: Anzahl der in der Stichprobe mit stationären Kontrollen erfassten korrekt vorgenommenen Mauterhebungen im automatischen Mauterhebungssystem.
|
|
MFSgesamt: Anzahl der in der Stichprobe mit stationären Kontrollen erfassten korrekt und nicht korrekt vorgenommenen Mauterhebungen im automatischen Mauterhebungssystem.
|
3.1.1 MessdatenerhebungDie Datenerhebung erfolgt durch DSRC-Auslesung der in den kontrollierten Fahrzeugen angebrachten EETS-Fahrzeuggeräte. Die Stichprobe besteht aus allen mit einem EETS-Fahrzeuggerät ausgestatteten Fahrzeugen, bei denen eine DSRC-Auslesung erfolgreich durchgeführt wurde und bei denen ein mautpflichtiger Abschnitt durch den Mauterheber eindeutig bestimmt werden kann. Die Stichprobe besteht des Weiteren nur aus jenen Fahrzeugen, in denen das EETS-Fahrzeuggerät Erhebungsbereitschaft anzeigt. Die Ermittlung der Erfassungsquote EQ_nonMED erfolgt auf der Basis von Daten, die im Rahmen der Kontrolle im gesamten mautpflichtigen Streckennetz erhoben werden.
3.1.2 MessdatenauswertungEine Mauterhebung gilt als korrekt, wenn für das eindeutig identifizierbare Fahrzeug der in den abschnittsbezogenen Erhebungsdaten übermittelte erkannte Abschnitt dem aufgrund der DSRC-Daten der Kontrolleinrichtungen des Mauterhebers bestimmten tatsächlich befahrenen Abschnitt entspricht. Andernfalls gilt die Mauterhebung als nicht korrekt. Ausgenommen sind jeweils diejenigen Fälle, in denen der Mautpflichtige nachweislich gegen seine Mitwirkungspflicht verstoßen oder eine unerlaubte Manipulation vorgenommen hat. Die Beweislast dafür liegt beim EETS-Anbieter.
Die Erfassungsquote EQ_nonMED wird für jeden Kalendermonat durch den Mauterheber als Zwischenergebnis ermittelt und auf drei Stellen nach dem Komma kaufmännisch gerundet. Die Messdatenauswertung erfolgt durch den Mauterheber. Der Mauterheber stellt dem EETS-Anbieter spätestens 30 Tage nach Ende des Kalendermonats die ermittelte Erfassungsquote EQ_nonMED sowie Informationen und die zugrunde gelegten eigenen Daten zu identifizierten Schlechtfällen zur Verfügung. Der EETS-Anbieter kann diese Informationen und Daten prüfen und dem Mauterheber das Ergebnis seiner Prüfung sowie eventuelle Einwendungen innerhalb von 30 Tagen nach Übermittlung der Ergebnisse durch den Mauterheber übermitteln. Einwendungen gegen das vom Mauterheber übermittelte Ergebnis sind nur insoweit zulässig, als der EETS-Anbieter nachweist, dass die Ermittlung der Erfassungsquote EQ_nonMED entgegen den Vorgaben dieses Anhangs QP sowie ggf. der Verfahrensbeschreibung erfolgt ist oder die zugrunde gelegten eigenen Daten des Mauterhebers unrichtig sind. Der Mauterheber wird das Ergebnis der Prüfung durch den EETS-Anbieter innerhalb von weiteren 30 Tagen prüfen und die Erfassungsquote EQ_nonMED für den jeweiligen Kalendermonat endgültig feststellen und in Form eines Berichts übermitteln.
Basierend auf den Positionsdaten der Kontrolleinrichtung wird jedem erhobenen Messfall ein Abschnitt zugeordnet. Ist keine eindeutige Zuordnung zu einem Abschnitt möglich, dann wird der zugehörige Messfall verworfen.
Einem Gutfall für die Messung der Erfassungsquote EQ_nonMED muss eine korrekte Erhebung in allen folgenden Unterpunkten zugrunde liegen. Als Schlechtfall gilt jeder Fall, dem mindestens in einem der folgenden Unterpunkte keine korrekte Erhebung zugrunde liegt:
- 1.
Eine durch den EETS-Anbieter erhobene Maut gilt im Rahmen der Ermittlung der Erfassungsquote EQ_nonMED als korrekt erhoben, wenn die Höhe der tatsächlich erhobenen Maut der Höhe der geschuldeten Maut entspricht, die sich bei Anwendung der Regeln zur Ermittlung der Mauthöhe, unter Berücksichtigung der jeweiligen Gebührenklassen des kontrollierten Fahrzeugs, ergibt. Die Identifizierung des kontrollierten Fahrzeugs erfolgt ausschließlich über das Kennzeichen aus den DSRC-Daten. Mögliche Abweichungen des DSRC-Kennzeichens zum tatsächlich am Fahrzeug angebrachten Kennzeichen werden nicht berücksichtigt. Maut von Falschdeklarierern gilt im Rahmen der Ermittlung der Erfassungsquote EQ_nonMED als korrekt erhoben. Alle Fälle von Nichtzahlungen bei Fahrzeugen, die mit einem EETS-Fahrzeuggerät ausgestattet sind und für die auf Basis des DSRC-Kennzeichens keine Erhebung erfolgte, werden als nicht korrekt erhoben angesehen. Ausgenommen sind jeweils diejenigen Fälle, in denen der Mautschuldner gegen seine gesetzliche Mitwirkungspflicht verstößt oder eine unerlaubte Manipulation vorgenommen hat. Die Beweislast dafür liegt beim EETS-Anbieter.
- 2.
Eine Mauterhebung gilt als korrekt, wenn für das Fahrzeug, das von der Kontrolleinrichtung mittels DSRC identifiziert wurde, der tatsächlich befahrene Abschnitt, der aufgrund der für die Kontrolleinrichtung festgestellten Positionsdaten ermittelt wurde, dem vom EETS-Anbieter in den abschnittsbezogenen Erhebungsdaten übermittelten erkannten Abschnitt inklusive eventueller Lückenschlüsse entspricht.
- 3.
Eine Mauterhebung gilt ebenfalls als korrekt, sofern der EETS-Anbieter nachweist (zum Beispiel durch Mauterhebungsdaten), dass ein Fahrzeug durch die Kontrolleinrichtung mittels DSRC in Gegenrichtung auf einer Bundesstraße fahrend identifiziert wurde und dafür in den abschnittsbezogenen Erhebungsdaten des EETS-Anbieters ebenfalls der korrekte Abschnitt zugeordnet wurde. Andernfalls gilt die Mauterhebung als nicht korrekt. Ausgenommen sind jeweils diejenigen Fälle, in denen der Mautschuldner nachweislich gegen seine gesetzliche Mitwirkungspflicht verstoßen oder eine unerlaubte Manipulation vorgenommen hat. Die Beweislast dafür liegt beim EETS-Anbieter.
Der Mauterheber behält sich vor, weitere Details der praktischen Umsetzung der Messdatenauswertung in einer verbindlichen Verfahrensbeschreibung festzulegen, die sich innerhalb des in diesem Anhang QP vorgegebenen Rahmens bewegt.
Der EETS-Anbieter muss einen Zielwert für
die Erfassungsquote EQ_nonMED von mindestens
99,500 % erreichen. Falls der EETS-Anbieter einen Zielwert von 95,000 % innerhalb eines Kalenderjahres in mehr als zwei Monaten oder in zwei aufeinanderfolgenden Monaten unterschreitet, ist der Mauterheber berechtigt, den Vertrag mit dem EETS-Anbieter zu kündigen (§ 28 Absatz 3 Satz 2 Nummer 16 EETS-Zulassungsvertrag). Wird die Erfassungsquote EQ_nonMED in Höhe von 99,500 % nicht erreicht, verwirkt der EETS-Anbieter eine Vertragsstrafe in Höhe von 0,05 % der ausgekehrten Mauteinnahmen im relevanten Betrachtungszeitraum je angefangenen Zehntelprozentpunkt der Unterschreitung des Zielwerts der Erfassungsquote EQ_nonMED. Der relevante Betrachtungszeitraum umfasst das Kalenderjahr. Die ausgekehrten Mauteinnahmen (ME) im relevanten Betrachtungszeitraum t ermitteln sich wie folgt:
MEt = WZt - Rt - Zt
|
WZt =
|
auf dem Konto des Mauterhebers gemäß § 5 des EETS-Zulassungsvertrags und gemäß den Vorgaben der EEMD-Gebietsvorgabenverordnung in Summe wertgestellte Zahlungen in Euro im Betrachtungszeitraum
|
Rt =
|
Betrag in Euro der gemäß Anlage 9, Nummer 1.3 des EETS-Zulassungsvertrags positiv beschiedenen Erstattungsverlangen im Betrachtungszeitraum
|
Zt =
|
Betrag in Euro der im Betrachtungszeitraum vom EETS-Anbieter ausgekehrten Verzugszinsen
|
Der Betrachtungszeitraum umfasst das Kalenderjahr. Sofern ein relevanter Betrachtungszeitraum nicht das gesamte Kalenderjahr umfasst, wird die Vertragsstrafe monatsgenau anteilig verwirkt (pro rata temporis).
3.2 Erfassungsquote EQ_MEDDie Erfassungsquote EQ_MED wird ausschließlich für EETS-Anbieter angewendet, die den Mauterhebungsdienst des Mauterhebers nutzen. Die Erfassungsquote EQ_MED dient der Bestimmung der Qualität der korrekten Mauterhebung für Befahrungen des mautpflichtigen Straßennetzes, bezogen auf den vom EETS-Anbieter zu verantwortenden Anteil der Mauterhebung. Die Erfassungsquote EQ_MED berechnet sich wie folgt:
EQ = 0,9 * FM + 0,1 * FS
|
mit
|
FM (Fremdauslesung mobil): DSRC-Auslesungen mit mobilen Kontrolleinrichtungen
|
FS (Fremdauslesung stationär): DSRC-Auslesungen mit ortsgebundenen (stationären) Kontrolleinrichtungen
|
|
Für die Ermittlung der Teilquoten FM und FS gilt:
|
|
|
|
|
MFMkorrekt: Anzahl der in der Stichprobe mit mobilen Kontrollen erfassten korrekt vorgenommenen Mauterhebungen im automatischen Mauterhebungssystem.
|
|
MFMgesamt: Anzahl der in der Stichprobe mit mobilen Kontrollen erfassten korrekt und nicht korrekt vorgenommenen Mauterhebungen im automatischen Mauterhebungssystem.
|
|
MFSkorrekt: Anzahl der in der Stichprobe mit (stationären) Kontrollen erfassten korrekt vorgenommenen Mauterhebungen im automatischen Mauterhebungssystem.
|
|
MFSgesamt: Anzahl der in der Stichprobe mit (stationären) Kontrollen erfassten korrekt und nicht korrekt vorgenommenen Mauterhebungen im automatischen Mauterhebungssystem.
|
3.2.1 MessdatenerhebungDie Datenerhebung erfolgt durch DSRC-Auslesung der in den kontrollierten Fahrzeugen angebrachten EETS-Fahrzeuggeräte. Die Stichprobe besteht aus allen mit einem EETS-Fahrzeuggerät ausgestatteten Fahrzeugen, bei denen eine DSRC-Auslesung erfolgreich durchgeführt wurde und bei denen ein mautpflichtiger Abschnitt durch den Mauterheber eindeutig bestimmt werden kann. Die Stichprobe besteht des Weiteren nur aus jenen Fahrzeugen, in denen das EETS-Fahrzeuggerät Erhebungsbereitschaft anzeigt. Die Ermittlung der Erfassungsquote EQ_MED erfolgt auf der Basis von Daten, die im Rahmen der Kontrolle im gesamten mautpflichtigen Streckennetz erhoben werden.
3.2.2 MessdatenauswertungEine Mauterhebung gilt bezogen auf den vom EETS-Anbieter zu verantwortenden Anteil als korrekt, wenn
- 1.
für das eindeutig identifizierbare Fahrzeug der in den abschnittsbezogenen Erhebungsdaten übermittelte erkannte Abschnitt dem aufgrund der DSRC-Daten der Kontrolleinrichtungen des Mauterhebers bestimmten tatsächlich befahrenen Abschnitt entspricht, oder
- 2.
für das eindeutig identifizierbare Fahrzeug vom EETS-Anbieter Fahrspuren an den Mauterhebungsdienst des Mauterhebers übermittelt wurden, die
- a.
Positionsdaten zum Zeitpunkt der DSRC-Auslesung umfassen und
- b.
bei denen keine Abweichungen zu den im Dokument 4.3.14 (SST005, Anlage 2 Ortungsspezifikation MED) beschriebenen Anforderungen identifiziert werden konnten.
Andernfalls gilt die Mauterhebung bezogen auf den vom EETS-Anbieter zu verantwortenden Anteil als
nicht korrekt. Ausgenommen sind jeweils diejenigen Fälle, in denen der Mautpflichtige nachweislich gegen seine Mitwirkungspflicht verstoßen oder eine unerlaubte Manipulation vorgenommen hat. Die Beweislast dafür liegt beim EETS-Anbieter.
Die Erfassungsquote EQ_MED wird für jeden Kalendermonat durch den Mauterheber als Zwischenergebnis ermittelt und auf drei Stellen nach dem Komma kaufmännisch gerundet. Die Messdatenauswertung erfolgt durch den Mauterheber. Der Mauterheber stellt dem EETS-Anbieter spätestens 30 Tage nach Ende des Kalendermonats die ermittelte Erfassungsquote EQ_MED sowie Informationen und die zugrunde gelegten eigenen Daten zu den, bezogen auf den vom EETS-Anbieter zu verantwortenden Anteil der Mauterhebung, identifizierten Schlechtfällen zur Verfügung. Der EETS-Anbieter kann diese Informationen und Daten prüfen und dem Mauterheber das Ergebnis seiner Prüfung sowie eventuelle Einwendungen innerhalb von 30 Tagen nach Übermittlung der Ergebnisse durch den Mauterheber übermitteln. Einwendungen gegen das vom Mauterheber übermittelte Ergebnis sind nur insoweit zulässig, als der EETS-Anbieter nachweist, dass die Ermittlung der Erfassungsquote EQ_MED entgegen den Vorgaben dieses Anhangs QP sowie ggf. der Verfahrensbeschreibung erfolgt ist oder die zugrunde gelegten eigenen Daten des Mauterhebers unrichtig sind. Der Mauterheber wird das Ergebnis der Prüfung durch den EETS-Anbieter innerhalb von weiteren 30 Tagen prüfen und die Erfassungsquote EQ_MED für den jeweiligen Kalendermonat endgültig feststellen und in Form eines Berichts übermitteln.
Für eventuelle Vertragsstrafen ist das Ergebnis nach obenstehender Formel unter Berücksichtigung der Werte für den jeweiligen Betrachtungszeitraum heranzuziehen.
Basierend auf den Positionsdaten der Kontrolleinrichtung wird jedem erhobenen Messfall ein Abschnitt zugeordnet. Ist keine eindeutige Zuordnung zu einem Abschnitt möglich, dann wird der zugehörige Messfall verworfen.
Einem Gutfall für die Messung der Erfassungsquote EQ_MED muss eine korrekte Erhebung in allen folgenden Unterpunkten zugrunde liegen. Als Schlechtfall gilt jeder Fall, dem mindestens in einem der folgenden Unterpunkte keine korrekte Erhebung zugrunde liegt:
- 1.
Die Identifizierung des kontrollierten Fahrzeugs erfolgt ausschließlich über das Kennzeichen aus den DSRC-Daten. Mögliche Abweichungen des DSRC-Kennzeichens zum tatsächlich am Fahrzeug angebrachten Kennzeichen werden nicht berücksichtigt. Maut von Falschdeklarierern gilt im Rahmen der Ermittlung der Erfassungsquote EQ_MED als korrekt erhoben. Alle Fälle von Nichtzahlungen bei Fahrzeugen, die mit einem EETS-Fahrzeuggerät ausgestattet sind und für die auf Basis des DSRC-Kennzeichens keine Erhebung erfolgte, werden als nicht korrekt erhoben angesehen. Ausgenommen sind jeweils diejenigen Fälle, in denen der Mautschuldner gegen seine gesetzliche Mitwirkungspflicht verstößt oder eine unerlaubte Manipulation vorgenommen hat. Die Beweislast dafür liegt beim EETS-Anbieter.
- 2.
Eine Mauterhebung gilt als korrekt, wenn für das Fahrzeug, das von der Kontrolleinrichtung mittels DSRC identifiziert wurde, der tatsächlich befahrene Abschnitt, der aufgrund der für die Kontrolleinrichtung festgestellten Positionsdaten ermittelt wurde, dem Abschnitt in den abschnittsbezogenen Erhebungsdaten entspricht, der vom Mauterheber inklusive eventueller Lückenschlüsse erkannt wurde.
- 3.
Eine Mauterhebung gilt ebenfalls als korrekt, sofern der EETS-Anbieter nachweist (zum Beispiel durch Mautbuchungsnachweise), dass ein Fahrzeug durch die Kontrolleinrichtung mittels DSRC in Gegenrichtung auf einer Bundesstraße fahrend identifiziert wurde und dafür in den Mautbuchungsnachweisen des Mauterhebers ebenfalls der korrekte Abschnitt zugeordnet wurde. Andernfalls gilt die Mauterhebung als nicht korrekt. Ausgenommen sind jeweils diejenigen Fälle, in denen der Mautschuldner nachweislich gegen seine gesetzliche Mitwirkungspflicht verstoßen oder eine unerlaubte Manipulation vorgenommen hat. Die Beweislast dafür liegt beim EETS-Anbieter.
- 4.
Eine Mauterhebung gilt ebenfalls als korrekt, sofern der EETS-Anbieter nachweist, dass von ihm Fahrspuren an den Mauterhebungsdienst des Mauterhebers übermittelt wurden, die (a) Positionsdaten zum Zeitpunkt der DSRC-Auslesung umfassen und (b) für die keine Abweichungen von denen in Dokument 4.3.14 (SST005, Anlage 2 Ortungsspezifikation MED) beschriebenen Anforderungen identifiziert werden konnten. Ausgenommen sind jeweils diejenigen Fälle, in denen der Mautschuldner nachweislich gegen seine gesetzliche Mitwirkungspflicht verstoßen oder eine unerlaubte Manipulation vorgenommen hat. Die Beweislast dafür liegt beim EETS-Anbieter.
Der Mauterheber behält sich vor, weitere Details der praktischen Umsetzung der Messdatenauswertung in einer verbindlichen Verfahrensbeschreibung festzulegen, die sich innerhalb des in diesem Anhang QP vorgegebenen Rahmens bewegt.
Der EETS-Anbieter muss einen Zielwert für die
Erfassungsquote EQ_MED von mindestens
99,500 % erreichen. Falls der EETS-Anbieter einen Zielwert von 95,000 % innerhalb eines Kalenderjahres in mehr als zwei Monaten oder in zwei aufeinanderfolgenden Monaten unterschreitet, ist der Mauterheber berechtigt, den Vertrag mit dem EETS-Anbieter zu kündigen (§ 28 Absatz 3 Satz 2 Nummer 16 EETS-Zulassungsvertrag). Wird die Erfassungsquote EQ_MED in Höhe von 99,500 % nicht erreicht, verwirkt der Anbieter eine Vertragsstrafe in Höhe von 0,05 % der ausgekehrten Mauteinnahmen im relevanten Betrachtungszeitraum je angefangenem Zehntelprozentpunkt der Unterschreitung des Zielwerts der Erfassungsquote EQ_MED. Der relevante Betrachtungszeitraum umfasst das Kalenderjahr. Die ausgekehrten Mauteinnahmen (ME) im relevanten Betrachtungszeitraum t ermitteln sich wie folgt:
MEt = WZt - Rt - Zt
|
WZt =
|
auf dem Konto des Mauterhebers gemäß § 5 des EETS-Zulassungsvertrags und gemäß den Vorgaben der EEMD-Gebietsvorgabenverordnung in Summe wertgestellte Zahlungen in Euro im Betrachtungszeitraum
|
Rt =
|
Betrag in Euro der gemäß Anlage 9 Nummer 1.3 des EETS-Zulassungsvertrags positiv beschiedenen Erstattungsverlangen im Betrachtungszeitraum
|
Zt =
|
Betrag in Euro der im Betrachtungszeitraum vom EETS-Anbieter ausgekehrten Verzugszinsen
|
Der Betrachtungszeitraum umfasst das Kalenderjahr. Sofern ein relevanter Betrachtungszeitraum nicht das gesamte Kalenderjahr umfasst, wird die Vertragsstrafe monatsgenau anteilig verwirkt (pro rata temporis).
3.2.3 Kombinierte Erfassungsquote bei der Migration auf den MEDFür Betrachtungszeiträume, die einen Zeitraum umfassen, in dem ein EETS-Anbieter seine Bordgeräte auf den Mauterhebungsdienst migriert (Migrationsphase), wird eine kombinierte Erfassungsquote ermittelt. Die kombinierte Erfassungsquote wird nach der folgenden Formel ermittelt:
EQ = 0,9 * FM + 0,1 * FS
|
mit
|
FM (Fremdauslesung mobil): DSRC-Auslesungen mit mobilen Kontrolleinrichtungen
|
FS (Fremdauslesung stationär): DSRC-Auslesungen mit ortsgebundenen (stationären) Kontrolleinrichtungen
|
|
Für die Ermittlung der Teilquoten FM und FS gilt:
|
|
|
|
|
MFMkorrekt: Anzahl der in der Stichprobe mit mobilen Kontrollen erfassten korrekt vorgenommenen Mauterhebungen im automatischen Mauterhebungssystem.
|
|
MFMgesamt: Anzahl der in der Stichprobe mit mobilen Kontrollen erfassten korrekt und nicht korrekt vorgenommenen Mauterhebungen im automatischen Mauterhebungssystem.
|
|
MFSkorrekt: MFSkorrekt: Anzahl der in der Stichprobe mit (stationären) Kontrollen erfassten korrekt vorgenommenen Mauterhebungen im automatischen Mauterhebungssystem.
|
|
MFSgesamt: Anzahl der in der Stichprobe mit (stationären) Kontrollen erfassten korrekt und nicht korrekt vorgenommenen Mauterhebungen im automatischen Mauterhebungssystem.
|
Hinweis: In die Anzahl MFMkorrekt und MFMgesamt bzw. MFSkorrekt und MFSgesamt gehen sowohl die Fälle, die im Betrachtungszeitraum über den MED erhoben wurden, und die Fälle, die im Betrachtungszeitraum mittels eigener Erkennung des EETS-Anbieters erhoben wurden, ein.
|
Die Auswertung der Messfälle von Fahrzeuggeräten, die mittels eigener Erkennung des EETS-Anbieters erhoben wurden, erfolgt nach den Vorgaben der Nummer 3.1.2.
Die Auswertung der Messfälle von Fahrzeuggeräten, die über den MED erhoben wurden, erfolgt nach den Vorgaben der Nummer 3.2.2.
Für die kombinierte Erfassungsquote liegt die Zielvorgabe ebenfalls bei 99,500 %. In Bezug auf Vertragsstrafen bei Unterschreitung der Quote im Betrachtungszeitraum gelten die Regelungen gemäß Nummer 3.2.2 entsprechend.
3.3 DSRC-Quote (QP_DSRCTRANS)Ziel der Quote ist die Messung der korrekten DSRC Kommunikation zwischen den EETS-Fahrzeuggeräten mit den automatischen Kontrolleinrichtungen des Mauterhebers, wobei alle abrechnungsrelevanten Daten (Fahrzeugparameter und Vertragsparameter) korrekt und vollständig übermittelt werden müssen.
Die Quote QP_DSRCTRANS wird mit folgender Formel erhoben:
|
Für den betrachteten Zeitraum und für die betrachteten Streckenabschnitte:
|
K = Anzahl der abschnittsbezogenen Erhebungsdatensätze (ABED), zu denen ein passender DSRC-Datensatz vorliegt.
|
ED = Anzahl der beim Mauterheber vorliegenden abschnittsbezogenen Erhebungsdatensätze von Streckenabschnitten, in denen zum Zeitpunkt der Befahrung automatische Kontrolleinrichtungen im Einsatz waren.
|
Für die Bestimmung passender Datensätze werden die Bordgeräte-ID, der Kontrollort (mautpflichtiger Streckenabschnitt, identifiziert durch Abschnitts-ID) und die Kontrollzeit (Datum und Uhrzeit; entspricht der Nutzungszeit) unter Verwendung einer gewissen zeitlichen Toleranz (Ausgangswert zehn Minuten) herangezogen. Der Mauterheber stellt sicher, dass nur automatische Kontrolleinrichtungen für die Betrachtung herangezogen werden, die dem Mauterheber durch den jeweiligen technischen Betreiber der Kontrolleinrichtung als betriebsbereit gemeldet wurden.
3.3.1 Messdatenerhebung und MessdatenauswertungDie Durchführung von Messungen erfolgt durch den Mauterheber automatisiert anhand der bei ihm vorliegenden Daten (ABED via Schnittstelle SST 006 und DSRC-Daten von den Kontrolleinrichtungen). Die Messdatenerhebung erfolgt nicht anhand einer Stichprobe, sondern es werden alle in einem Kalendermonat oder in einem vertraglich relevanten Betrachtungszeitraum gelieferten Datensätze in die Messdatenerhebung einbezogen.
Für alle berücksichtigten ABED werden zugehörige DSRC-Datensätze gesucht,
- 1.
mit übereinstimmender Fahrzeuggeräte-ID
- 2.
mit übereinstimmendem Kontrollort (mautpflichtiger Abschnitt, identifiziert durch die Abschnitts-ID)
- 3.
mit übereinstimmender Uhrzeit, wobei für die Suche eine Toleranz von ± zehn (10) Minuten zu Anwendung kommt.
Als Gutfälle fließen in die Größe K alle aufgefundenen zugehörigen DSRC-Datensätze ein, die vollständig abgeschlossen wurden. Fehlende, nicht abgeschlossene und unvollständige DSRC-Datensätze fließen nicht als Gutfälle ein.
Bei der Ermittlung der Variable ED fließen keine Fälle auf mautpflichtigen Abschnitten ein, bei denen die Möglichkeit besteht, dass ein Fahrzeug eine Teilbefahrung ausführt und dabei nicht die auf diesem Abschnitt befindliche automatische Kontrolleinrichtung passiert. Zusätzlich fließen bei Kontrollsäulen keine Fälle ein, bei denen aufgrund der Geometrie des Abschnitts und der technischen Eigenschaften und Position der Kontrollsäule die Möglichkeit besteht, dass Fahrzeuge, die die Kontrollsäule nicht auf dem unmittelbar neben der Kontrollsäule befindlichen Fahrstreifen passieren, nicht erfasst werden können.
Die Quote QP_DSRCTRANS wird für jeden Kalendermonat durch den Mauterheber als Zwischenergebnis ermittelt und auf drei Stellen nach dem Komma kaufmännisch gerundet. Die Messdatenauswertung erfolgt durch den Mauterheber. Der Mauterheber stellt dem EETS-Anbieter spätestens 30 Tage nach Ende des Kalendermonats die ermittelten DSRC-Quoten sowie Informationen und die zugrunde gelegten eigenen Daten zu identifizierten Schlechtfällen zur Verfügung. Der EETS-Anbieter kann diese Informationen und Daten prüfen und dem Mauterheber das Ergebnis seiner Prüfung sowie eventuelle Einwendungen innerhalb von 30 Tagen nach Übermittlung der Ergebnisse durch den Mauterheber übermitteln. Einwendungen gegen das vom Mauterheber übermittelte Ergebnis sind nur insoweit zulässig, als der EETS-Anbieter nachweist, dass die Ermittlung der Quoten entgegen den Vorgaben dieses Anhangs QP sowie ggf. der Verfahrensbeschreibung erfolgt ist oder die zugrunde gelegten eigenen Daten des Mauterhebers unrichtig sind. Der Mauterheber wird das Ergebnis der Prüfung durch den EETS-Anbieter innerhalb von weiteren 30 Tagen prüfen und die Quoten für den jeweiligen Kalendermonat endgültig feststellen und in Form eines Berichts übermitteln.
Der Mauterheber behält sich vor, weitere Details der praktischen Umsetzung der Messdatenerhebung und Messdatenauswertung in einer verbindlichen Verfahrensbeschreibung festzulegen, die sich innerhalb des in diesem Anhang QP vorgegebenen Rahmens bewegt.
Der EETS-Anbieter muss einen Zielwert für die Quote QP_DSRCTRANS von mindestens 98,500 % erreichen. Falls der EETS-Anbieter einen Zielwert von 96,000 % innerhalb eines Kalenderjahres in mehr als zwei Monaten oder in zwei aufeinanderfolgenden Monaten unterschreitet, ist der Mauterheber berechtigt, den Vertrag mit dem EETS-Anbieter zu kündigen (§ 28 Absatz 3 Satz 2 Nummer 17 EETS-Zulassungsvertrag).
Wird die DSRC-Quote in Höhe von 98,500 % nicht erreicht, dann wird eine Vertragsstrafe wie folgt festgelegt:
Pro angefangenem Zehntelprozentpunkt Unterschreitung des Zielwertes von 98,500 % im relevanten Betrachtungszeitraum wird eine Vertragsstrafe in Höhe von 10 000 Euro verwirkt. Der relevante Betrachtungszeitraum umfasst das Kalenderjahr. Sofern der vertraglich relevante Betrachtungszeitraum nicht das gesamte Kalenderjahr umfasst, wird die Vertragsstrafe monatsgenau anteilig verwirkt (pro rata temporis).
Sofern die Quote QP_DSRCTRANS in einem relevanten Betrachtungszeitraum durch den Mauterheber nicht festgestellt werden konnte, entfällt für diesen relevanten Betrachtungszeitraum die Möglichkeit der Verhängung von Vertragsstrafen in Bezug auf die Quote QP_DSRCTRANS oder einer Kündigung gemäß § 28 Absatz 3 Satz 2 Nummer 17 EETS-Zulassungsvertrag.
3.4 Sperrlistenquote (QP_SPERRLISTE)Eine wesentliche Anforderung der Gebietsvorgaben ist die technische Sperrung eines EETS-Fahrzeuggeräts (Signalisierung fehlender Betriebsbereitschaft im Mautgebiet Deutschland), bevor dieses durch den EETS-Anbieter auf die Sperrliste (Blocklist) und an den Mauterheber übermittelt wird. Dies ist wesentlich, da die Verteilung der Sperrlisten im System des Mauterhebers nicht unmittelbar erfolgt.
Ziel der Quote ist die Messung der Anzahl der Fahrzeuge, die Betriebsbereitschaft signalisieren (Zustand grün), jedoch auf der Sperrliste aufgeführt sind.
Durch folgende Formel wird der Qualitätsparameter QP_SPERRLISTE bestimmt:
|
Für den betrachteten Zeitraum und für die betrachteten Streckenabschnitte sind die Variablen wie folgt definiert:
|
OBUgrün_total = Anzahl erfasste betriebsbereite EETS-FzG eines Anbieters (SST 301/ ISO 12813: StatusIndicator = go (1) bedeutet, dass das FzG einen betriebsbereiten Status anzeigt).
|
OBUgrün = Anzahl erfasste betriebsbereite EETS-FzG, welche zum Zeitpunkt der Erfassung in der Sperrliste des EETS-Anbieters aufgelistet sind.
|
3.4.1 Messdatenerhebung und MessdatenauswertungDie Durchführung von Messungen erfolgt durch den Mauterheber auf Basis der im System des Mauterhebers vorliegenden Daten der vom EETS-Anbieter übermittelten Sperrlisten sowie im Rahmen von Kontrollen erfassten DSRC-Daten. Die Messdatenerhebung erfolgt nicht anhand einer Stichprobe, sondern es werden alle in einem Kalendermonat oder in einem vertraglich relevanten Betrachtungszeitraum gelieferten Datensätze in die Messdatenerhebung einbezogen.
Dabei prüft der Mauterheber, ob für ein Bordgerät, für das DSRC-Daten vorliegen und der Statusindikator den Wert go (1) hat, ein Eintrag auf der zum jeweiligen Zeitpunkt der DSRC-Auslesung im System des Mauterhebers vorliegenden Sperrliste des EETS-Anbieters vorliegt. Dies gilt als Schlechtfall. Bei der Ermittlung der Quote QP_SPERRLISTE wird jedoch ein erhebungsbereites Bordgerät nicht als Schlechtfall gewertet, wenn für dieses auf der nächsten auf den Kontrollzeitpunkt folgenden vom EETS-Anbieter übermittelten Sperrliste kein Eintrag für dieses Bordgerät mehr vorhanden war.
Die Quote QP_SPERRLISTE wird für jeden Kalendermonat durch den Mauterheber festgestellt und auf drei Stellen nach dem Komma kaufmännisch gerundet.
Die Messdatenauswertung erfolgt durch den Mauterheber. Der Mauterheber stellt dem EETS-Anbieter spätestens 30 Tage nach Ende des Kalendermonats die ermittelte Quote QP_SPERRLISTE sowie Informationen und die zugrunde gelegten eigenen Daten zu identifizierten Schlechtfällen zur Verfügung. Der EETS-Anbieter kann diese Informationen und Daten prüfen und dem Mauterheber das Ergebnis seiner Prüfung sowie eventuelle Einwendungen innerhalb von 30 Tagen nach Übermittlung der Ergebnisse durch den Mauterheber übermitteln. Einwendungen gegen das vom Mauterheber übermittelte Ergebnis sind nur insoweit zulässig, als der EETS-Anbieter nachweist, dass die Ermittlung der Quote entgegen den Vorgaben dieses Anhangs QP sowie ggf. der Verfahrensbeschreibung erfolgt ist oder die zugrunde gelegten eigenen Daten des Mauterhebers unrichtig sind. Der Mauterheber wird das Ergebnis der Prüfung durch den EETS-Anbieter innerhalb von weiteren 30 Tagen prüfen und die Quote für den jeweiligen Kalendermonat endgültig feststellen und in Form eines Berichts übermitteln. Der Mauterheber behält sich vor, weitere Details der praktischen Umsetzung der Messdatenerhebung und Messdatenauswertung in einer verbindlichen Verfahrensbeschreibung festzulegen, die sich innerhalb des in diesem Anhang QP vorgegebenen Rahmens bewegt.
Der EETS-Anbieter muss einen Zielwert für QP_SPERRLISTE von mindestens 99,900 % erreichen. Die Sperrlistenquote wird für jeden Kalendermonat gemessen, durch den Mauterheber festgestellt und auf drei Stellen nach dem Komma kaufmännisch gerundet.
Für jeden Schlechtfall gemäß Nummer 3.4.1 Absatz 2, der die 99,900 % im relevanten Betrachtungszeitraum unterschreitet, wird dem EETS-Anbieter eine Vertragsstrafe von 1 000 Euro verhängt. Der relevante Betrachtungszeitraum beträgt 1 Kalendermonat.
3.5 Nutzerlistenquote (QP_NUTZERLISTE)Ein Eintrag auf der Nutzerliste (Userlist) und die korrekte und rechtzeitige Übermittlung dieser Liste (Schnittstelle 002a) an den Mauterheber ist eine wichtige Voraussetzung für die Verarbeitung von abschnittsbezogenen Erhebungsdaten und Mautbuchungsnachweisen der Nutzer im System des Mauterhebers. Ziel der Quote ist die Messung der Qualität der Erstellung und Übermittlung der Nutzerliste vom EETS-Anbieter an den Mauterheber. Die Messung erfolgt unter Heranziehung von DSRC-Auslesungen von Fahrzeugen des EETS-Anbieters und dem Vergleich mit den übermittelten Daten auf der Nutzerliste.
Durch folgende Formel wird der Qualitätsparameter QP_NUTZERLISTE bestimmt:
|
Dabei sind die Variablen für den jeweilig betrachteten Zeitraum wie folgt definiert:
|
USER-IDkeinNutzer = Anzahl straßenseitig erfasster und in der Nutzerliste unter Berücksichtigung des Gültigkeitszeitraums der Nutzerdaten nicht gefundene User-IDs innerhalb des Beobachtungszeitraums, wobei eine mehrfach aufgefundene User-ID nur einmal zählt.
|
USER-IDerfasst = Anzahl straßenseitig erfasster User-IDs innerhalb des Beobachtungszeitraums.
|
3.5.1 Messdatenerhebung und MessdatenauswertungDie Durchführung von Messungen erfolgt durch den Mauterheber auf Basis der im System des Mauterhebers vorliegenden Daten der vom EETS-Anbieter übermittelten Nutzerlisten sowie im Rahmen von Kontrollen erfassten DSRC-Daten. Die Messdatenerhebung erfolgt nicht anhand einer Stichprobe, sondern es werden alle in einem Kalendermonat oder in einem vertraglich relevanten Betrachtungszeitraum gelieferten Datensätze in die Messdatenerhebung einbezogen.
Dabei prüft der Mauterheber, ob für ein Bordgerät, für das DSRC-Daten vorliegen und der Statusindikator den Wert go (1) hat, ein Eintrag auf der zum jeweiligen Zeitpunkt der DSRC-Auslesung im System des Mauterhebers vorliegenden Nutzerliste des EETS-Anbieters vorliegt. Dies gilt als Gutfall. Alle anderen Fälle gelten als Schlechtfälle.
Die Quote QP_NUTZERLISTE wird für jeden Kalendermonat durch den Mauterheber festgestellt und auf drei Stellen nach dem Komma kaufmännisch gerundet.
Die Messdatenauswertung erfolgt durch den Mauterheber. Der Mauterheber stellt dem EETS-Anbieter spätestens 30 Tage nach Ende des Kalendermonats die ermittelte Quote QP_NUTZERLISTE sowie Informationen und die zugrunde gelegten eigenen Daten zu identifizierten Schlechtfällen zur Verfügung. Der EETS-Anbieter kann diese Informationen und Daten prüfen und dem Mauterheber das Ergebnis seiner Prüfung sowie eventuelle Einwendungen innerhalb von 30 Tagen nach Übermittlung der Ergebnisse durch den Mauterheber übermitteln. Einwendungen gegen das vom Mauterheber übermittelte Ergebnis sind nur insoweit zulässig, als der EETS-Anbieter nachweist, dass die Ermittlung der Quote entgegen den Vorgaben dieses Anhangs QP sowie gegebenfalls. der Verfahrensbeschreibung erfolgt ist oder die zugrunde gelegten eigenen Daten des Mauterhebers unrichtig sind. Der Mauterheber wird das Ergebnis der Prüfung durch den EETS-Anbieter innerhalb von weiteren 30 Tagen prüfen und die Quote für den jeweiligen Kalendermonat endgültig feststellen und in Form eines Berichts übermitteln. Der Mauterheber behält sich vor, weitere Details der praktischen Umsetzung der Messdatenerhebung und Messdatenauswertung in einer verbindlichen Verfahrensbeschreibung festzulegen, die sich innerhalb des in diesem Anhang QP vorgegebenen Rahmens bewegt.
Der EETS-Anbieter muss einen Zielwert für QP_NUTZERLISTE von mindestens 99,900 % erreichen. Die Nutzerlistenquote wird für jeden Kalendermonat gemessen, durch den Mauterheber festgestellt und auf drei Stellen nach dem Komma kaufmännisch gerundet.
Für jeden Schlechtfall gemäß Nummer 3.5.1 Absatz 2, der die 99,900 % im relevanten Betrachtungszeitraum unterschreitet, wird dem EETS-Anbieter eine Vertragsstrafe von 500 Euro verhängt. Der relevante Betrachtungszeitraum beträgt 1 Kalendermonat.
3.6 Quote für abschnittsbezogene Erhebungsdaten (QP_ABED)Die Quote für abschnittsbezogene Erhebungsdaten (QP_ABED) wird ausschließlich für EETS-Anbieter angewendet, die den Mauterhebungsdienst des Mauterhebers nicht nutzen. Die Quote der Lieferung der abschnittsbezogenen Erhebungsdaten misst, wie viele der vom EETS-Anbieter übermittelten abschnittsbezogenen Erhebungsdaten innerhalb der vertraglich vereinbarten Frist rechtzeitig im System des Mauterhebers empfangen wurden.
Die Quote wird mit der folgenden Formel ermittelt:
|
mit
|
|
- •
ABED_rechtzeitig – vom EETS-Anbieter erzeugte und rechtzeitig eingegangene ABEDs beim Mauterheber, Abschnittsbezogene Erhebungsdaten (ABED) gelten als verspätet beim Mauterheber eingetroffen, wenn die zeitliche Differenz zwischen dem Zeitpunkt der Befahrung des erkannten mautpflichtigen Abschnitts und dem Eingang der korrekten ABED im System des Mauterhebers auf Ebene "DetectedChargeObject" der Schnittstelle 006 größer ist als die vertraglich vorgegebene Zeit. ABEDs gelten als nicht korrekt, wenn sie vom Mauterheber im Rahmen der fachlichen Prüfung mit einem Fehler an den EETS-Anbieter zurückgemeldet werden. Solche ABEDs werden nicht als inkorrekt gewertet, wenn sie innerhalb der vertraglich vereinbarten Fristen erneut und korrekt übermittelt werden.
- •
ABED_alle - alle vom EETS-Anbieter erzeugten und im System des Mauterhebers eingegangenen ABEDs des EETS-Anbieters
|
Die Quote der Lieferung abschnittsbezogener Erhebungsdaten wird jeweils für den Kalendermonat durch den Mauterheber als Zwischenergebnis ermittelt und auf drei Stellen nach dem Komma gerundet. Die Messdatenauswertung erfolgt durch den Mauterheber. Der Mauterheber stellt dem EETS-Anbieter spätestens 30 Tage nach Ende des Kalendermonats die ermittelte Quote sowie Informationen und die zugrunde gelegten eigenen Daten zu identifizierten Schlechtfällen zur Verfügung. Der EETS-Anbieter kann diese Informationen und Daten prüfen und dem Mauterheber das Ergebnis seiner Prüfung sowie eventuelle Einwendungen innerhalb von 30 Tagen nach Übermittlung der Ergebnisse durch den Mauterheber übermitteln. Einwendungen gegen das vom Mauterheber übermittelte Ergebnis sind nur insoweit zulässig, als der EETS-Anbieter nachweist, dass die Ermittlung der Quote entgegen den Vorgaben dieses Anhangs QP sowie ggf. der Verfahrensbeschreibung erfolgt ist oder die zugrunde gelegten eigenen Daten des Mauterhebers unrichtig sind. Der Mauterheber wird das Ergebnis der Prüfung durch den EETS-Anbieter innerhalb von weiteren 30 Tagen prüfen und die Quote für den Kalendermonat endgültig feststellen und in Form eines Berichts übermitteln.
ABED, die verspätet beim Mauterheber eingetroffen sind, weil das System des Mauterhebers für eine Entgegennahme von ABED nicht verfügbar war, werden bei der Ermittlung der Quote nicht berücksichtigt.
ABED, die verspätet beim Mauterheber eingetroffen sind, weil das System des EETS-Anbieters nicht für eine Versendung von ABED verfügbar war, weil der EETS-Anbieter Maßnahmen an diesem System unter Einhaltung seiner vertraglichen Verpflichtungen aus dem Zulassungsvertrag durchgeführt hat, werden bei der Ermittlung der Quote nicht berücksichtigt.
Der Mauterheber behält sich vor, weitere Details der praktischen Umsetzung der Messdatenerhebung und Messdatenauswertung unter Beteiligung des EETS-Anbieters in einer verbindlichen Verfahrensbeschreibung festzulegen, die sich innerhalb des in diesem Anhang QP vorgegebenen Rahmens bewegt.
Der EETS-Anbieter muss einen Zielwert für QP_ABED von mindestens 99,000 % erreichen. Die Quote zur rechtzeitigen und korrekten Übermittlung der ABED wird für jeden Kalendermonat durch den Mauterheber als Zwischenergebnis festgestellt und auf drei Stellen nach dem Komma kaufmännisch gerundet.
Für jeden verspäteten oder inkorrekten ABED wird dem EETS-Anbieter im relevanten Betrachtungszeitraum eine Vertragsstrafe von 1 Euro berechnet. Der relevante Betrachtungszeitraum beträgt ein Kalenderjahr. Die Vertragsstrafe ist nicht fällig, wenn die Quote im relevanten Betrachtungszeitraum mindestens 99,000 % beträgt. Sofern der vertraglich relevante Betrachtungszeitraum nicht das gesamte Kalenderjahr umfasst, wird die Vertragsstrafe monatsgenau anteilig verwirkt (pro rata temporis).
3.7 Fahrspurquote (QP_FS)Die Fahrspurquote (QP_FS) wird ausschließlich für EETS-Anbieter angewendet, die den Mauterhebungsdienst des Mauterhebers nutzen.
Die Quote der Lieferung der Fahrspuren misst, wie viele Fahrspuren rechtzeitig im System des nationalen Mautbetreibers empfangen wurden.
Die Quote wird mit der folgenden Formel ermittelt:
|
mit
|
|
- •
FS_rechtzeitig - rechtzeitig eingegangene Fahrspuren des EETS-Anbieters im System des nationalen Mautbetreibers. Fahrspuren (FS) gelten als rechtzeitig im System des nationalen Mautbetreibers eingetroffen, wenn die zeitliche Differenz zwischen dem Zeitpunkt der ersten Position der Fahrspur und dem Eingang der Fahrspur im System des nationalen Mautbetreibers über die Schnittstelle 005 höchstens die vom Mauterheber in Anlage 1 „Zusatzvereinbarung“ des EETS-Zulassungsvertrags vorgegebene Zeit beträgt. Fahrspuren gelten als nicht eingetroffen, wenn sie mit einer synchronen oder asynchronen Fehlermeldung quittiert werden.
- •
FS_alle - alle im System des nationalen Mautbetreibers eingegangenen Fahrspuren des EETS-Anbieters
|
Die Quote der Lieferung der Fahrspuren wird jeweils für den Kalendermonat durch den Mauterheber ermittelt. Die Messdatenauswertung erfolgt durch den Mauterheber. Der Mauterheber stellt dem EETS-Anbieter spätestens 30 Tage nach Ende des Kalendermonats die ermittelte Quote sowie Informationen und die zugrunde gelegten eigenen Daten zu identifizierten Schlechtfällen zur Verfügung. Der EETS-Anbieter kann diese Informationen und Daten prüfen und dem Mauterheber das Ergebnis seiner Prüfung sowie eventuelle Einwendungen innerhalb von 30 Tagen nach Übermittlung der Ergebnisse durch den Mauterheber übermitteln. Einwendungen gegen das vom Mauterheber übermittelte Ergebnis sind nur insoweit zulässig, als der EETS-Anbieter nachweist, dass die Ermittlung der Quote entgegen den Vorgaben dieses Anhangs QP sowie ggf. der Verfahrensbeschreibung erfolgt ist oder die zugrunde gelegten eigenen Daten des Mauterhebers unrichtig sind. Der Mauterheber wird das Ergebnis der Prüfung durch den EETS-Anbieter innerhalb von weiteren 30 Tagen prüfen und anschließend die Quote für den Kalendermonat endgültig feststellen und in Form eines Berichts übermitteln.
Fahrspuren, die verspätet im System des nationalen Mautbetreibers eingetroffen sind, weil das System des nationalen Mautbetreibers für eine Entgegennahme von Fahrspuren nicht verfügbar war, werden bei der Ermittlung der Quote nicht berücksichtigt.
Fahrspuren, die verspätet im System des nationalen Mautbetreibers eingetroffen sind, weil das System des EETS-Anbieters nicht für eine Versendung von Fahrspuren verfügbar war, weil der EETS-Anbieter Maßnahmen an diesem System unter Einhaltung seiner vertraglichen Verpflichtungen aus dem Zulassungsvertrag durchgeführt hat, werden bei der Ermittlung der Quote nicht berücksichtigt.
Der Mauterheber behält sich vor, weitere Details der praktischen Umsetzung der Messdatenerhebung und Messdatenauswertung unter Beteiligung des EETS-Anbieters in einer verbindlichen Verfahrensbeschreibung festzulegen, die sich innerhalb des in diesem Anhang QP vorgegebenen Rahmens bewegt.
Der EETS-Anbieter muss einen Zielwert für QP_FS von mindestens 99,000 % erreichen. Die Fahrspurquote wird kalendermonatlich durch den Mauterheber als Zwischenergebnis festgestellt, auf drei Stellen nach dem Komma kaufmännisch gerundet und dem EETS-Anbieter in Form eines Berichts zur Verfügung gestellt.
Für jede verspätete Fahrspur, die zu einer Unterschreitung des Zielwerts der Quote von 99,000 % im relevanten Betrachtungszeitraum führt, wird gegenüber dem EETS-Anbieter eine Vertragsstrafe von 10 Euro verhängt. Der relevante Betrachtungszeitraum beträgt ein Kalenderjahr. Eine Vertragsstrafe ist nicht fällig, wenn die Quote im relevanten Betrachtungszeitraum mindestens 99,000 % beträgt.
3.8 Übermittlung von MautbuchungsnachweisenDie Vorgaben in diesem Abschnitt sowie die Vertragsstrafe für verspätet oder inkorrekte Mautbuchungsnachweise werden ausschließlich für EETS-Anbieter angewendet, die den Mauterhebungsdienst des Mauterhebers nicht nutzen.
Die korrekte und rechtzeitige Übermittlung von Mautbuchungsnachweisen ist wesentlich für die Einnahmeprüfung des Mauterhebers. Da diese jedoch auf der korrekten und rechtzeitigen Übermittlung von abschnittsbezogenen Erhebungsdaten (ABED) beruhen, werden dafür keine separaten Quoten berechnet. Die Anzahl der nicht rechtzeitig und/oder nicht korrekt übermittelten Mautbuchungsnachweise wird dem EETS-Anbieter in Form eines monatlichen Berichts zur Verfügung gestellt. Vielmehr werden Vertragsstrafen fällig, falls Mautbuchungsnachweise entsprechend der Schnittstellenspezifikation 007 vom EETS-Anbieter an den Mauterheber nicht rechtzeitig und korrekt übermittelt werden. Mautbuchungsnachweise gelten als nicht korrekt, wenn sie vom Mauterheber im Rahmen der fachlichen Prüfung mit einem Fehler an den EETS-Anbieter zurückgemeldet werden. Mautbuchungsnachweise werden nicht als inkorrekt gewertet, wenn sie innerhalb der vertraglich vereinbarten Fristen vom EETS-Anbieter erneut und korrekt übermittelt werden. Mautbuchungsnachweise, die vom EETS-Anbieter erzeugt und verspätet beim Mauterheber eingetroffen sind, weil das System des Mauterhebers für eine Entgegennahme von Mautbuchungsnachweisen nicht verfügbar war, werden bei der Ermittlung der Quote nicht berücksichtigt.
Je verspätetem oder inkorrektem Mautbuchungsnachweis wird dem EETS-Anbieter eine Vertragsstrafe von 50 Euro berechnet.
3.9 Übermittlung von TagesberichtenDie korrekte und rechtzeitige Übermittlung von Tagesberichten ist wesentlich für die Einnahmeprüfung des Mauterhebers. Dafür werden keine separaten Quoten berechnet. Die Anzahl der nicht rechtzeitig und/oder nicht korrekt übermittelten Tagesberichte wird dem EETS-Anbieter in Form eines monatlichen Berichts zur Verfügung gestellt.
Vielmehr werden Vertragsstrafen fällig, falls Tagesberichte entsprechend der Schnittstellenspezifikation 008 nicht rechtzeitig und korrekt übermittelt werden. Tagesberichte gelten als nicht korrekt, wenn sie vom Mauterheber im Rahmen der fachlichen Prüfung mit einem Fehler an den EETS-Anbieter zurückgemeldet werden. Tagesberichte werden nicht als inkorrekt gewertet, wenn sie innerhalb der vertraglich vereinbarten Fristen erneut und korrekt übermittelt werden. Tagesberichte, die verspätet beim Mauterheber eingetroffen sind, weil das System des Mauterhebers für eine Entgegennahme von Tagesberichten nicht verfügbar war, werden bei der Ermittlung der Quote nicht berücksichtigt.
Je verspätetem oder inkorrektem Tagesbericht wird dem EETS-Anbieter eine Vertragsstrafe von 100 Euro berechnet.
4. Bestimmungen zu den Audits
- 1.
Der Mauterheber ist berechtigt auf eigene Veranlassung und auf eigene Rechnung beim EETS-Anbieter Audits durch Dritte durchführen zu lassen. Die Audits müssen zumindest sieben Werktage vor Beginn des Audits durch den Mauterheber beim EETS-Anbieter angekündigt werden.
- 2.
Audits des Mauterhebers dienen der Überprüfung der ordnungsgemäßen Einhaltung der Gebietsvorgaben und umfassen insbesondere folgende Themen:
- 1.
die Beachtung der Bundeshaushaltsordnung,
- 2.
die Einhaltung von Datenschutzbestimmungen und die Einhaltung von Archivierungspflichten,
- 3.
die Vollständigkeit abrechnungsrelevanter Daten,
- 4.
die Korrektheit von Nutzer- und Fahrzeugdaten in den Systemen des EETS-Anbieters,
- 5.
die Überprüfung von technischen Vorfällen und Fehlern der technischen Systeme des EETS-Anbieters zur Sicherstellung eines adäquaten Risikomanagements auf Seiten des Mauterhebers,
- 6.
Überprüfungen im Zuge einer technischen Störung.
- 3.
Der EETS-Anbieter hat die Durchführung der Audits aktiv zu unterstützen. Dazu gehören die Bereitstellung aller angeforderten Informationen und die Durchführung von Interviews mit informierten und qualifizierten Mitarbeitern auf eigene Kosten. Außerdem sind Räumlichkeiten und Computer mit Zugang zu allen relevanten Daten für die Dauer des Audits zur Verfügung zu stellen.
- 4.
-
Zum Abschluss eines Audits wird ein Bericht erstellt. Der Audit-Bericht muss klare Empfehlungen für Maßnahmen zur Behebung von Mängeln bezogen auf die Einhaltung der Gebietsvorgaben enthalten, sofern dies notwendig ist. Die Empfehlungen sind verbindlich und ihnen muss innerhalb der im Bericht verfassten Fristen entsprochen werden. Der EETS-Anbieter kann innerhalb von 21 Tagen nach Erhalt des Audit-Berichts Widerspruch einlegen und dem Mauterheber konkrete eigene Vorschläge unterbreiten, wie er den ordnungsgemäßen Zustand wiederherstellen wird. Der Mauterheber wird die Vorschläge prüfen und annehmen oder sie aus sachlichem Grund ablehnen.
Wird den Empfehlungen des Audit-Berichtes innerhalb der im Bericht verfassten Fristen nicht entsprochen, wird für jeden Tag ab Fristablauf eine Vertragsstrafe in Höhe von 1 000 Euro verhängt. Im Falle eines erfolglosen Widerspruches gegen den Audit-Bericht gilt dieselbe Rechtsfolge wie in Satz 5, 2. Halbsatz, wobei die im Audit-Bericht genannte Frist erst zu laufen beginnt, nachdem der Widerspruch aus sachlichem Grund abgelehnt wurde. Im Falle eines erfolgreichen Widerspruches gegen den Audit-Bericht wird für jeden Tag, nachdem die angenommenen Vorschläge nicht innerhalb der abgestimmten Fristen umgesetzt werden, eine Vertragsstrafe in Höhe von 1 000 Euro verhängt.
(Fundstelle: BAnz AT 29.10.2021 V 2)
Entgeltordnung1. VorbemerkungIm Rahmen der Durchführung des Zulassungsverfahrens zur Erbringung mautdienstbezogener Leistungen auf dem EETS-Gebiet BFStrMG, sind vom BALM Gebühren für die Geltendmachung individuell zurechenbarer öffentlicher Leistungen zu erheben.
Das Zulassungsverfahren gliedert sich in folgende Phasen:
2. GebührenVon einem EETS-Anbieter, der das Zulassungsverfahren durchläuft, sind die nachfolgend genannten Pauschalbeträge zu entrichten:
|
Verfahrensphase
|
Pauschalentgelt
|
a)
|
vor Beginn der Prüfung der Voraussetzungen und Dokumentation (GTP Prüfblock 1, Nummer 1, 2, 3 und 4)
|
22 500 Euro
|
b)
|
vor Beginn der Prüfung der wirtschaftlichen Vorgaben
|
25 500 Euro
|
c)
|
vor Beginn der GTP Phase 1 (GTP Prüfblock 2, Nummer 5)
|
143 500 Euro
|
d)
|
vor Beginn des Probebetriebs (GTP Prüfblock, Nummer 6)
|
48 500 Euro
|
e)
|
vor Beginn des Pilotbetriebs (GTP Prüfblock, Nummer 7)
|
62 000 Euro
|
|
Gesamtbetrag:
|
302 000 Euro
|
3. FälligkeitDiese Pauschalbeträge sind jeweils vor Beginn der zugehörigen Verfahrensphase fällig. Das BALM fordert einen EETS-Anbieter vor jeder Verfahrensphase schriftlich zur Zahlung des Betrags auf. Die Verfahrensphase wird vom BALM erst nach Eingang der entsprechenden Zahlung eingeleitet.
4. Erneute Durchführung des VerfahrensEs ist möglich, dass eine erneute Prüfung eines Teils oder des gesamten Teilsystems eines EETS-Anbieters notwendig wird. Dies ist der Fall, wenn
- 1.
der Anbieter Änderungen an seinem EETS-Teilsystem vornimmt, die Auswirkungen auf die Gebrauchstauglichkeit haben können,
- 2.
der Mauterheber Änderungen an seinem EETS-Teilsystem oder am EETS-Gebiet BFStrMG vornimmt, die Auswirkungen auf die Gebrauchstauglichkeit haben können,
- 3.
der Betreiber des Mautsystems Änderungen am Mautsystem vornimmt, die Auswirkungen auf die Gebrauchstauglichkeit haben können,
- 4.
bei der Durchführung des EETS im EETS-Gebiet BFStrMG nachhaltige technische Probleme auftreten,
- 5.
das Verfahren zur Feststellung der Gebrauchstauglichkeit wesentlich geändert wird oder
- 6.
der begründete Verdacht des Mauterhebers auf Nichterfüllung der Vorgaben durch den Anbieter besteht.
Werden die durchgeführten Anpassungen oder Hinweise auf Nichteinhaltung von Vorgaben vom Mauterheber als derart gravierend eingestuft, dass die ursprünglichen Prüfaussagen nicht mehr als gültig akzeptiert werden können, sind die entsprechenden Teile der Prüfung zumindest für die von den Anpassungen betroffenen Systemteile erneut durchzuführen und die Systemteile und die dadurch tangierten Prüfszenarien exakt festzustellen und abzugrenzen.
Die erneute Durchführung des Verfahrens zur Gebrauchstauglichkeit orientiert sich an denselben Phasen wie die initiale Durchführung. Sämtliche in der Bewertung der Änderungen als relevant eingestuften Prüfszenarien aller Verfahrensphasen müssen komplett durchlaufen werden. Die erneute Durchführung des Verfahrens zur Gebrauchstauglichkeit wird dem EETS-Anbieter berechnet, es sei denn, Änderungen im System des Mauterhebers sind ursächlich für die erneute Durchführung des Verfahrens. Sollte eine Verfahrensphase von der erneuten Durchführung nicht betroffen sein, ist der entsprechende Pauschalbetrag nicht zu entrichten.
Sollte eine der Verfahrensphasen von der erneuten Durchführung teilweise betroffen sein, ist der Pauschalbetrag nach billigem Ermessen des Mauterhebers anteilig zu entrichten.
(Fundstelle: BAnz AT 29.10.2021 V2)
Glossar
Begriff
|
Definition
|
Abschnittsbezogene Erhebungsdaten
|
Abschnittsbezogene Erhebungsdaten resultieren aus der Erkennung mautpflichtiger Streckenabschnitte.
|
Anbieter
|
Rechtsperson, die den Nutzern durch einen Vertrag Zugang zu mehreren mautpflichtigen Streckennetzen gewährt, die Maut des Mautschuldners an die für die Erhebung der Maut in Bund und Ländern zuständige Behörde zahlt und im Mitgliedstaat registriert ist, in dem sie ihren Sitz oder eine ständige Niederlassung hat.
|
Auskehr der Maut
|
Bezeichnet die Abführung von streckenbezogenen Mauteinnahmen vom Anbieter an den Mauterheber.
|
Bankgarantie
|
Zahlungsgarantie einer Bank, mit der diese die finanzielle Absicherung ihres Kunden, für einen eventuellen Schaden einzustehen, übernimmt.
|
BDSG
|
Bundesdatenschutzgesetz
|
Benannte Stelle
|
Siehe notifizierte Stelle
|
Betreibergesellschaft
|
Als Betreibergesellschaft nach den Vorschriften des BFStrMG wurde in Deutschland die Toll Collect GmbH mit der Mitwirkung an der Erhebung der Maut für die Benutzung von Bundesautobahnen und Bundesstraßen durch schwere Nutzfahrzeuge nach § 4 Absatz 3 Satz 1 BFStrMG beauftragt.
|
Betreiber des Mautsystems
|
Siehe Betreibergesellschaft
|
BFStrMG
|
Bundesfernstraßenmautgesetz
|
BGB
|
Bürgerliches Gesetzbuch
|
Bordgerät
|
Auch: Fahrzeuggerät
Der vollständige Satz von Hardware- und Softwarekomponenten, der für die Bereitstellung des EETS erforderlich ist und der für die Sammlung, Speicherung und Verarbeitung sowie den Fernempfang und die Fernübertragung von Daten in einem Fahrzeug eingebaut ist oder mitgeführt wird.
|
DSRC
|
Abkürzung für Dedicated Short Range Communication, steht für Nahbereichskommunikation
|
EETS
|
Abkürzung für European Electronic Toll Service. Steht für Europäischer Elektronischer Mautdienst (EEMD).
|
EETS-Anbieter
|
Siehe Anbieter
|
EETS-Gebiet BFStrMG
|
Gebiet des EETS in Deutschland, in dem Maut auf Grundlage des BFStrMG erhoben wird.
|
EETS-Register
|
Auch: Mautdienstregister.
Nationales elektronisches Mautregister zum EETS gemäß Artikel 21 der Richtlinie (EU) 2019/520 und § 21 MautSysG.
|
Erfassungsquote
|
Maß für die Qualität der Mauterhebung im EETS-Gebiet BFStrMG gemäß EETS-Zulassungsvertrag Anlage 5
|
EU-DSGVO
|
Europäische Datenschutz-Grundverordnung
|
Europäischer elektronischer Mautdienst
|
Deutsche Übersetzung für European Electronic Toll Service (EETS).
|
Fahrspur
|
Vom EETS-Anbieter an den Mauterhebungsdienst übermittelte Positionsdaten
|
Fahrzeuggerät
|
Auch: Bordgerät
|
Fehlvergebührung
|
Eine vom Mauterhebungsdienst fehlerhaft durchgeführte Erkennung oder Tarifierung einer Befahrung durch ein mautpflichtiges Fahrzeug
|
Gebrauchstauglichkeit
|
Fähigkeit von im EETS integrierten Interoperabilitätskomponenten, während des Betriebs in Verbindung mit dem System des Mauterhebers ein bestimmtes Leistungsniveau zu erreichen und aufrechtzuerhalten. Dies entspricht der Erfüllung der technischen Vorgaben, die in den Vorgaben für das EETS-Gebiet definiert sind.
|
Gebrauchstauglichkeitsbescheinigung
|
Bescheinigung über das Vorliegen der Gebrauchstauglichkeit. Die Gebrauchstauglichkeitsbescheinigung wird durch den Mauterheber oder eine benannte Stelle ausgestellt.
|
Kapitalintakthalteerklärung
|
Verpflichtung der Gesellschafter eines Unternehmens, gesamt- und einzelschuldnerisch weiteres Eigenkapital bereitzustellen.
|
Maut
|
Gebühr für die Benutzung des mautpflichtigen Streckennetzes durch schwere Nutzfahrzeuge auf der Grundlage des BFStrMG
|
Mautbetreiber
|
Siehe Betreibergesellschaft
|
Mautbuchungsnachweis
|
Ein Mautbuchungsnachweis enthält Informationen zu einer mautpflichtigen Fahrt eines Nutzers
|
Mauterheber
|
Englisch: Toll Charger
Instanz, welche die Einnahmen aus der Straßenmaut beansprucht. In Deutschland übernimmt diese Rolle das BALM. Die Toll Collect GmbH ist mit Teilen dieser Rolle beliehen.
|
Mauterhebungsdienst
|
Der vom nationalen Mautbetreiber im Auftrag des Mauterhebers betriebene Mauterhebungsdienst (MED) führt basierend auf den von EETS-Anbietern übermittelten GNSS-Fahrspuren und Fahrzeugparametern die Erkennung, Tarifierung und Fahrtenbildung von Befahrungen des mautpflichtigen Streckennetzes durch.
|
Mautpflichtiges Straßennetz
|
Mautpflichtige Bundesautobahnen und Bundesstraßen gemäß BFStrMG
|
Mautschuldner
|
Siehe Nutzer
|
MautSysG
|
Mautsystemgesetz
|
Nationaler Mautbetreiber
|
Siehe Betreibergesellschaft
|
Nationales duales Mauterhebungssystem
|
Umfasst alle Einrichtungen und Prozesse des Betreibers gemäß § 4 Absatz 3 BFStrMG zur Erhebung der Maut im gesamten mautpflichtigen Streckennetz im Geltungsbereich des BFStrMG.
|
Notifizierte Stelle
|
Vom Mitgliedsstaat benannte notifizierte Stelle mit den in der Durchführungsverordnung (EU) 2020/204 beschriebenen Aufgaben und Zuständigkeiten.
|
Nutzer
|
Natürliche oder juristische Person, die mit einem EETS-Anbieter einen Vertrag schließt, um Zugang zum EETS zu erhalten.
|
Nutzerlisten
|
Die Nutzerliste wird von jedem EETS-Anbieter an den Mauterheber in periodischen Abständen übertragen. Sie enthält die User-IDs zu den Fahrzeugen, die aktuell bei dem EETS-Anbieter registriert und im EETS-Gebiet BFStrMG mautpflichtig sind.
|
Nutzerreferenzflotte
|
Die Nutzerreferenzflotte ist eine vom EETS-Anbieter ausgewählte Gruppe seiner Nutzer, die grundsätzlich aus Transportunternehmen des gewerblichen Güterkraftverkehrs besteht. Der EETS-Anbieter kann eine Nutzerreferenzflotte bereitstellen, die wirkbetriebskonform Befahrungen durchführt und für die Maut im EETS-Gebiet BFStrMG erhoben wird.
|
Rückwirkungsfreiheit
|
Das Mautdienst-Teilsystem des EETS-Anbieters und seine Systeme, Komponenten, Anlagen und Einrichtungen müssen so spezifiziert, entwickelt und betrieben werden, dass sie nicht durch andere Geräte oder Funkanwendungen gestört werden können und ihrerseits nicht andere Geräte oder Funkanwendungen stören.
|
Sperrliste
|
Die Sperrliste ist eine vom EETS-Anbieter an den Mauterheber zu übermittelnde Liste seiner gesperrten Bordgeräte.
Englisch: Blocklist
|
Teilsystem
|
Auch: Mautdienst-Teilsystem
Ein Teilsystem umfasst Einrichtungen und Prozesse zur Erhebung der Maut.
|
Verfahren zur Feststellung der Gebrauchstauglichkeit
|
Summe aller Aktivitäten des Mauterhebers, eines EETS-Anbieters und gegebenenfalls einer benannten Stelle, die erforderlich sind, um für das technische System des EETS-Anbieters den Nachweis der Gebrauchstauglichkeit zu erbringen.
|
Vermittlungsstelle
|
Vermittlungsstelle nach Artikel 11 der Richtlinie (EU) 2019/520 und § 28 MautSysG mit der Aufgabe, die Vermittlung bei Streitigkeiten im Zusammenhang mit der Zulassung nach § 10 MautSysG und der beschränkten Zulassung nach § 11 MautSysG zu erleichtern.
|
Vorgaben für das EETS-Gebiet BFStrMG
|
Durch die „Verordnung über die Vorgaben für das EETS-Gebiet Bundesfernstraßenmautgesetz (EEMD-Gebietsvorgabenverordnung – GVV)“ verbindlich erlassene Vorgaben für das EETS-Gebiet BFStrMG. Diese umfassen:
- –
wirtschaftliche Vorgaben
- –
finanzielle Vorgaben
- –
Vorgaben zu Abrechnungswesen, Zahlungs- und Fakturierungsgrundsätzen
- –
technisch-organisatorische Vorgaben
- –
Vorgaben zum Zusammenwirken der Teilsysteme des EETS-Anbieters und des Mauterhebers
- –
Vorgaben zu Mauterhebung, Kontrolle und Überwachung
- –
Vorgaben zu Qualitätsanforderungen
|
VwVfG
|
Verwaltungsverfahrensgesetz
|
Zulassungsverfahren
|
Summe aller Aktivitäten des Mauterhebers und eines EETS-Anbieters, die erforderlich sind, um den Zulassungsvertrag abzuschließen.
|
(Fundstelle: BAnz AT 29.10.2021 V2)
Erklärungen / Schriftwechsel[Gegebenenfalls beizufügen.]
(Fundstelle: BGBl. 2023 I, Nr. 32, 1 – 8)
VergütungDie in dieser Anlage enthaltenen Regelungen dienen als Grundlage zur Berechnung der Vergütung des EETS-Anbieters („EETS-Vergütung“) und sind in Zusammenhang mit § 20 des EETS-Zulassungsvertrags zu verstehen.
(auf die Abbildung des amtlichen Inhaltsverzeichnisses wurde verzichtet)
- 1.
Bestandteile der EETS-Vergütung
- 1.1
-
Betriebsentgelt
Das Betriebsentgelt wird für die Vergütungsperiode 2023 bis 2025 (01.03.2023 bis 31.12.2025) wie folgt festgelegt.
Das jährliche Betriebsentgelt für EETS-Anbieter, die den Mauterhebungsdienst (MED) des Mauterhebers nicht nutzen und eine eigene Erkennung und Tarifierung (EET) betreiben, (

) beträgt:
Darin ist eine Änderungspauschale gemäß Nummer 2.3 in Höhe von [417 199] EUR enthalten.
Das jährliche Betriebsentgelt für EETS-Anbieter, die den Mauterhebungsdienst des Mauterhebers nutzen, (

) beträgt:
Darin ist eine Änderungspauschale gemäß Nummer 2.3 in Höhe von [496 610] EUR enthalten.
Jeweils 1/12 (ein Zwölftel) des jährlichen Betriebsentgelts wird dem EETS-Anbieter kalendermonatlich zusammen mit dem AV-Entgelt und dem Nutzungs- und Zahlungsprovisionsentgelt gezahlt. Für unvollständige Kalendermonate wird das zu vergütende Betriebsentgelt pro rata temporis berechnet.
Im Falle der Migration eines EETS-Anbieters auf den Mauterhebungsdienst wird ab dem nächsten vollen Kalendermonat, der auf den vom Mauterheber festgelegten Zeitpunkt des Abschlusses der Migration der Fahrzeuggeräteflotte auf den MED folgt, die Vergütung gemäß BetrEMED gezahlt.
Die Höhe des jährlichen Betriebsentgelts wird für die nachfolgende Vergütungsperiode gemäß den Vorgaben in Nummer 2 angepasst.
- 1.2
-
Entgelt Automatisches Verfahren (AV-Entgelt)
Jeder EETS-Anbieter erhält vom Mauterheber in Abhängigkeit von der Anzahl der gezählten aktiven Fahrzeuggeräte im Mautsystem ein kalendermonatliches AV-Entgelt (AVE). Das AV-Entgelt im jeweiligen Kalendermonat m des jeweiligen Kalenderjahres KJ ermittelt sich wie folgt:
AVEKJ, m
|
=
|
AV-Entgelt im jeweiligen Kalendermonat m des Kalenderjahres KJ
|
|
=
|
AV-Tarif für EETS-Anbieter, die den MED (MED) nutzen bzw. nicht nutzen (EET) in der jeweiligen Vergütungsperiode VP
|
AFzGKJ, m
|
=
|
Anzahl der nachgewiesenen aktiven Fahrzeuggeräte im jeweiligen Kalendermonat m des Kalenderjahres KJ
|
KJ
|
=
|
Platzhalter für das jeweilige Kalenderjahr
|
m
|
=
|
Laufende Nummer des Kalendermonats (1 bis 12) des jeweiligen Kalenderjahres KJ
|
VP
|
=
|
Vergütungsperiode, für die der AV-Tarif angewendet wird
|
Ein aktives Fahrzeuggerät ist ein Bordgerät, das vom EETS-Anbieter bereitgestellt und in ein beim EETS-Anbieter registriertes Fahrzeug eingebaut wurde und für das für den jeweiligen Kalendermonat m des Kalenderjahres KJ mindestens einmal eine Befahrung des mautpflichtigen Streckennetzes festgestellt wurde. Es muss ein Vertrag zwischen dem EETS-Anbieter und seinem Nutzer über die Mauterhebung im EETS-Gebiet des Bundesfernstraßenmautgesetzes (EETS-Gebiet BFStrMG) bestehen. Die Informationen zum Bordgerät müssen in der Nutzerliste zusammen mit der eindeutig dem Bordgerät zugeordneten Identifikationsnummer des Bordgeräts, dem Kennzeichen des Fahrzeugs oder der Fahrzeugkombination und der Vertragsnummer des Nutzers über die Schnittstelle 002a übermittelt worden sein. Eine Befahrung gilt als festgestellt, wenn für die Identifikationsnummer des Bordgeräts und für den jeweiligen Kalendermonat mindestens einmal die Befahrung eines mautpflichtigen Abschnitts in den abschnittsbezogenen Erhebungsdaten über die Schnittstelle SST 006 vom EETS-Anbieter (sofern dieser den MED nicht nutzt) oder vom nationalen Mautbetreiber (sofern der EETS-Anbieter den MED nutzt) an den Mauterheber gemeldet wurde. Für den Zeitpunkt der Befahrung gilt der Zeitstempel mit dem Attribut „timeWhenUsed“ in der Sequenz von „DetectedChargeObject“ in den abschnittsbezogenen Erhebungsdaten. Der Betrachtungszeitraum für das AV-Entgelt ist ein Kalendermonat. Das Risiko, dass sich die Anzahl der aktiven Fahrzeuggeräte und damit das AV-Entgelt anders entwickelt als bei Vertragsabschluss angenommen, trägt, unabhängig von den Ursachen, ausschließlich der EETS-Anbieter.
Für die
Vergütungsperiode 2023 bis 2025 (01.03.2023 bis 31.12.2025) gelten die folgenden AV-Tarife:
für EETS-Anbieter, die den Mauterhebungsdienst des Mauterhebers nicht nutzen
|
|
|
für EETS-Anbieter, die den Mauterhebungsdienst des Mauterhebers nutzen
|
|
|
Im Falle der Migration eines EETS-Anbieters auf den Mauterhebungsdienst wird ab dem nächsten vollen Kalendermonat, der auf den vom Mauterheber festgelegten Zeitpunkt des Abschlusses der Migration der Fahrzeuggeräteflotte auf den MED folgt, der für die jeweilige Vergütungsperiode gültige AV-Tarif

angewandt.
Die Höhe des AV-Tarifs wird für die nachfolgende Vergütungsperiode gemäß den Vorgaben in Nummer 2 angepasst.
- 1.3
-
Nutzungs- und Zahlungsprovisionsentgelt
Der EETS-Anbieter erhält vom Mauterheber ein kalendermonatliches Nutzungs- und Zahlungsprovisionsentgelt (NZlgE). Das Nutzungs- und Zahlungsprovisionsentgelt im jeweiligen Kalendermonat m des jeweiligen Kalenderjahres KJ ermittelt sich wie folgt:
NZlgEKJ, m = NZlgPVP × (WZKJ, m – RKJ, m – ZKJ, m) + NZlgKVP * km
|
NZlgEKJ, m
|
=
|
Nutzungs- und Zahlungsprovisionsentgelt im jeweiligen Kalendermonat m des Kalenderjahres KJ
|
NZlgPVP
|
=
|
Nutzungs- und Zahlungsprovisionssatz in der Vergütungsperiode VP
|
WZKJ, m
|
=
|
Auf dem Konto des Mauterhebers in Summe wertgestellte Zahlungen in Euro im jeweiligen Kalendermonat m des jeweiligen Kalenderjahres KJ
|
RKJ, m
|
=
|
Betrag in Euro der im jeweiligen Kalendermonat m des jeweiligen Kalenderjahres KJ positiv beschiedenen Erstattungsverlangen
|
ZKJ, m
|
=
|
Betrag in Euro der im jeweiligen Kalendermonat m des jeweiligen Kalenderjahres KJ vom EETS-Anbieter ausgekehrten Verzugszinsen
|
KJ
|
=
|
Platzhalter für das jeweilige Kalenderjahr
|
m
|
=
|
Laufende Nummer des Kalendermonats (1 bis 12) des jeweiligen Kalenderjahres KJ
|
VP
|
=
|
Vergütungsperiode, für die der Nutzungs- und Zahlungsprovisionssatz angewendet wird
|
km
|
=
|
Im jeweiligen Kalendermonat m des Kalenderjahres KJ abgerechnete Fahrleistung
|
NZlgKVP
|
=
|
Vergütung pro abgerechnetem Kilometer Fahrleistung in der Vergütungsperiode VP
|
Der Nutzungs- und Zahlungsprovisionssatz für die Vergütungsperiode 2024 bis 2025 (01.09.2024 bis 31.12.2025) beträgt:
NZlgP2024–2025 = [1,23] %
|
Die Vergütung pro abgerechnetem Kilometer Fahrleistung für die Vergütungsperiode 2024 bis 2025 (01.09.2024 bis 31.12.2025) beträgt:
NZlgK2024–2025 = 0,00076 EUR/km
|
Wurde beim Mauterheber eine berechtigte Erstattung durch einen Nutzer des EETS-Anbieters beantragt und wurde dieser Antrag durch den Mauterheber positiv beschieden, mindert sich das Nutzungs- und Zahlungsprovisionsentgelt entsprechend. Der Mauterheber teilt dem EETS-Anbieter jeweils bis zum siebten Werktag eines Monats für den vorangegangenen Monat mit, wie viele Anträge auf Erstattung in welcher Höhe (
RKJ, m) positiv beschieden wurden.
Die abgerechnete Fahrleistung km wird ermittelt auf Basis der aktiven Fahrzeuggeräte gemäß Ziffer 1.2. Dafür werden für den gesamten Betrachtungszeitraum die Tariflängen der abgerechneten Abschnitte in den abschnittsbezogenen Erhebungsdaten dieser Fahrzeuggeräte addiert. Als Zeitpunkt der Befahrung eines mautpflichtigen Abschnitts gilt die entsprechende Regelung in Ziffer 1.2. Von der abgerechneten Fahrleistung wird die Summe der Tariflängen der Abschnitte abgezogen, deren Mautbeträge dem Nutzer des EETS-Anbieters vom Mauterheber im Rahmen eines Erstattungsverfahrens vollständig rückerstattet wurden.
Die Höhe des Nutzungs- und Zahlungsprovisionssatzes wird für die nachfolgende Vergütungsperiode gemäß den Vorgaben in Nummer 2 angepasst.
- 1.4
-
Bonus (EQ-Bonus)
Der Mauterheber zahlt bei Überschreitung der „Erfassungsquote EQ_nonMED“ gemäß EETS-Zulassungsvertrag Anlage 5 Nummer 3.1 bzw. bei Überschreitung der „Erfassungsquote EQ_MED“ gemäß EETS-Zulassungsvertrag Anlage 5 Nummer 3.2 in Höhe von 99,500 % einen Bonus (EQ_Bonus) gemäß folgender Formel:
EQ_BonusKJ = (EQKJ – 99,5 %) × (WZKJ – RKJ – ZKJ) × 12,5 %
|
EQKJ
|
=
|
gemäß EETS-Zulassungsvertrag Anlage 5 Nummer 3.1.2 ermittelte Erfassungsquote EQ_nonMED (für EETS-Anbieter, die den MED des Mauterhebers während des Kalenderjahres KJ nicht nutzten) bzw. gemäß EETS-Zulassungsvertrag Anlage 5 Nummer 3.2.2 ermittelte Erfassungsquote EQ_MED (für EETS-Anbieter, die den MED während des Kalenderjahres KJ nutzten) bzw. gemäß EETS-Zulassungsvertrag Anlage 5 Nummer 3.2.3 ermittelte kombinierte Erfassungsquote (für EETS-Anbieter, die während des Kalenderjahres KJ auf den MED migrieren) für das Kalenderjahr KJ in Prozent
|
WZKJ
|
=
|
auf dem Konto des Mauterhebers in Summe wertgestellte Zahlungen in Euro im jeweiligen Kalenderjahr KJ
|
RKJ
|
=
|
Betrag in Euro der im jeweiligen Kalenderjahr KJ positiv beschiedenen Erstattungsverlangen
|
ZKJ
|
=
|
Betrag in Euro der im jeweiligen Kalenderjahr KJ vom EETS-Anbieter ausgekehrten Verzugszinsen
|
KJ
|
=
|
Platzhalter für das jeweilige Kalenderjahr
|
Der Betrachtungszeitraum für die Ermittlung des EQ-Bonus umfasst das Kalenderjahr. Die Zahlung des EQ-Bonus für das Kalenderjahr an den EETS-Anbieter erfolgt auf das jeweils in der Vergütungsrechnung angegebene Konto des EETS-Anbieters. Sofern ein vertraglich festgelegter Betrachtungszeitraum kein volles Kalenderjahr umfasst, wird der EQ-Bonus monatsgenau anteilig gezahlt.
- 1.5
-
MED-Umstellungsentgelt
Die EETS-Anbieter, die den Mauterhebungsdienst (MED) des Mauterhebers bei ihrer Zulassung noch nicht nutzen konnten, erhalten ein MED-Umstellungsentgelt. Dieses beträgt 0,40 € je aktivem Fahrzeuggerät pro Kalendermonat. Es wird vom 01.11.2021, frühestens jedoch ab dem Zeitpunkt der Zulassung des EETS-Anbieters, bis zum 31.12.2025, höchstens jedoch bis zum Ende der Zulassung des EETS-Anbieters gezahlt. Die Zahl der aktiven Fahrzeuggeräte, für die das MED-Umstellungsentgelt gezahlt wird, ist auf die Zahl der aktiven Fahrzeuggeräte beschränkt, die im Kalendermonat November 2021 abgerechnet wurden. Für nach dem November 2021 zugelassene EETS-Anbieter ist die Zahl der abgerechneten aktiven Fahrzeuggeräte im Kalendermonat der Zulassung maßgeblich.
- 1.6
-
Anpassung des Vergütungsmodells für die Vergütungsperiode 2021 bis 2023 (01.11.2021 bis 28.02.2023)
Das Vergütungsmodell für den Zeitraum 01.11.2021 bis 28.02.2023 wird wie folgt angepasst:
Das jährliche Betriebsentgelt für EETS-Anbieter, die den Mauterhebungsdienst (MED) des Mauterhebers nicht nutzen und eine eigene Erkennung und Tarifierung (EET) betreiben, (

) beträgt:
Das jährliche Betriebsentgelt für EETS-Anbieter, die den Mauterhebungsdienst des Mauterhebers nutzen, (

) beträgt:
Der AV-Tarif beträgt
für EETS-Anbieter, die den Mauterhebungsdienst des Mauterhebers nicht nutzen
|
|
|
für EETS-Anbieter, die den Mauterhebungsdienst des Mauterhebers nutzen
|
|
|
Der Nutzungs- und Zahlungsprovisionssatz beträgt:
NZlgP2021–2023
|
= [1,97] %
|
- 2.
-
Überprüfung des EETS-Vergütungsmodells
Die Höhe der einzelnen Bestandteile des EETS-Vergütungsmodells wird durch den Mauterheber vor Ablauf der jeweils aktuellen Vergütungsperiode überprüft. Als Ergebnis der Überprüfung können sich Anpassungen ergeben, die in der folgenden Vergütungsperiode gültig werden.
Der Mauterheber wird die Dauer der Vergütungsperioden zukünftig im Regelfall auf drei Kalenderjahre festlegen.
Im Rahmen der regelmäßigen Aktualisierung des Vergütungsmodells zum Ende einer Vergütungsperiode wird der Mauterheber den Entwurf des angepassten EETS-Vergütungsmodells spätestens sechs Kalendermonate vor dem jeweiligen Gültigkeitsbeginn einer neuen Vergütungsperiode an die in Deutschland zugelassenen oder sich im Zulassungsverfahren befindlichen EETS-Anbieter übermitteln. Anschließend übermitteln die EETS-Anbieter innerhalb von vier Kalenderwochen ihre Anmerkungen zum Entwurf an den Mauterheber. Nach Übermittlung der Anmerkungen wird der Mauterheber den EETS-Anbietern im Rahmen eines Anhörungstermins die Änderungen erläutern und den EETS-Anbietern Raum für Fragen und Anmerkungen einräumen. Der Mauterheber prüft die Anmerkungen und die Ergebnisse des Anhörungstermins und überarbeitet ggf. das Vergütungsmodell. Der Mauterheber übermittelt das finale Vergütungsmodell vier Kalendermonate vor dem jeweiligen Gültigkeitsbeginn einer neuen Vergütungsperiode an die EETS-Anbieter.
Die Überprüfung und Anpassung des EETS-Vergütungsmodells erfolgen in folgenden Bereichen:
- 1.
Indexierung des AV-Tarifs
- 2.
Prüfung und Bewertung der Entwicklung des EETS in Europa
- 3.
Ermittlung der Änderungspauschale
- 2.1
-
Indexierung des AV-Tarifs
Die Höhe des für die Ermittlung des AV-Entgelt anzuwendenden AV-Tarifs (AVT) wurde für die Vergütungsperiode 2023 bis 2025 fixiert.
Im Rahmen der Überprüfung des EETS-Vergütungsmodells wird der AV-Tarif für die nachfolgende Vergütungsperiode entsprechend der nachfolgenden Regelungen wertgesichert.
Die Indexierung des AV-Tarifs (AVTEET und AVTMED) für eine Vergütungsperiode erfolgt immer auf Basis des Indexwertes für das 2. Quartal des letzten Kalenderjahres der vorangegangenen Vergütungsperiode.
Im Rahmen der Überprüfung ist der für die Vergütungsperiode 2023 bis 2025 festgeschriebene AV-Tarif (
bzw.
) zu
- 1.
25 % mit dem vom Statistischen Bundesamt veröffentlichten „Index der durchschnittlichen Bruttomonatsverdienste: Deutschland, Quartale, Wirtschaftszweige WZ08-62“ und
- 2.
25 % mit dem vom Statistischen Bundesamt veröffentlichten Erzeugerpreisindex für den Wirtschaftszweig „Telekommunikation“ (WZ08-61) (Telekom) und
- 3.
50 % mit dem vom Statistischen Bundesamt veröffentlichten Erzeugerpreisindex für die Dienstleistungsart „IT-Dienstleistungen“ (DL-IT) (IT) oder
- 4.
wenn diese Indizes nicht mehr veröffentlicht werden, mit den an ihre Stelle tretenden Indizes
zu inflationieren.
werden auf Basis der vom Statistischen Bundesamt für das 2. Quartal 2024 veröffentlichten Statistiken bestimmt, sobald diese vorliegen. Sofern diese Indexwerte nicht rechtzeitig für die Abrechnung ab dem 01.09.2024 zur Verfügung stehen, erfolgt die Bestimmung zum frühestmöglichen Zeitpunkt und eine eventuelle Erhöhung des AV-Tarifs wird rückwirkend ab 01.09.2024 gezahlt.
- 2.2
-
Prüfung und Bewertung der Entwicklung des EETS in Europa
Der Mauterheber wird die Entwicklung des EETS-Marktes in Europa kontinuierlich beobachten und bewerten, ob im Rahmen der Überprüfung eine Anpassung des EETS-Vergütungsmodells für die nächste Vergütungsperiode erfolgen muss.
Der Mauterheber behält sich vor, Anpassungen am EETS-Vergütungsmodell vorzunehmen, wenn sich Annahmen, die bei der initialen Entwicklung des EETS-Vergütungsmodells in Bezug auf die zukünftige Entwicklung des EETS in Europa getroffen wurden, als nicht mehr zutreffend erweisen oder sich sonstige relevante Rahmenbedingungen ändern.
Insbesondere wird der Mauterheber dabei die folgenden Aspekte in seiner Prüfung berücksichtigen:
- 1.
die Anzahl der von EETS-Anbietern abgedeckten EETS-Gebiete,
- 2.
die Betrachtung von Synergieeffekten bei der Vergütung von Systemen und Prozessen durch verschiedene Mauterheber,
- 3.
die Entwicklung der Verteilung von Zahlungsmitteln und Zahlungsprovisionskosten,
- 4.
die Entwicklungen im Bereich von Fahrzeuggeräten und alternativen Erhebungsgeräten und
- 5.
die Anpassungen relevanter europäischer Vorgaben mit Bezug zum EETS, insbesondere
- a)
die Richtlinie (EU) 2019/520 des Europäischen Parlaments und des Rates vom 19. März 2019 über die Interoperabilität elektronischer Mautsysteme und die Erleichterung des grenzüberschreitenden Informationsaustauschs über die Nichtzahlung von Straßenbenutzungsgebühren in der Union (ABl. L 91 vom 29.3.2019, S. 45) in der jeweils geltenden Fassung und die auf ihrer Grundlage erlassenen Rechtsakte sowie
- b)
die Richtlinie 1999/62/EG des Europäischen Parlaments und des Rates vom 17. Juni 1999 über die Erhebung von Gebühren für die Benutzung bestimmter Verkehrswege durch schwere Nutzfahrzeuge (ABl. L 187 vom 20.7.1999, S. 42) in der jeweils geltenden Fassung und die auf ihrer Grundlage erlassenen Rechtsakte.
In Folge der Prüfung und Bewertung der Entwicklung des EETS in Europa kann eine Anpassung des Betriebsentgelts, des AV-Tarifs oder des Nutzungs- und Zahlungsprovisionsentgelts erfolgen, die jeweils ab der nächsten Vergütungsperiode gültig wird.
Im Falle der Vornahme von Änderungen wird der Mauterheber dem EETS-Anbieter im Rahmen der Übermittlung des EETS-Vergütungsmodells für die nachfolgende Vergütungsperiode auch Informationen zu den geänderten Annahmen und/oder Rahmenbedingungen bereitstellen.
- 2.3
-
Ermittlung der Änderungspauschale
EETS-Anbieter erhalten als Teil des Betriebsentgelts eine Änderungspauschale für die Umsetzung von technischen oder prozessualen Änderungen in ihren Systemen, die durch den Mauterheber initiiert werden.
- 2.3.1
-
Überprüfung und Festlegung der Änderungspauschale
Die Höhe der Änderungspauschale wurde für die Vergütungsperioden 2021 bis 2023 bzw. 2023 bis 2025 festgelegt. Dabei wurden für die folgenden Änderungsvorhaben Abschätzungen des damit für die EETS-Anbieter verbundenen Aufwands erstellt. Für die Änderungsvorhaben in den Bereichen B) und C), die außer für das Mautgebiet BFStrMG noch für weitere Mautgebiete genutzt werden können, wurde bei der Aufwandsschätzung entsprechendes Synergiepotential berücksichtigt. Die jeweils insgesamt abgeschätzten Aufwände werden als Teil des Betriebsentgelts über die gesamte Dauer der Vergütungsperiode vergütet und anteilig auf ein Kalenderjahr berechnet, so dass sich die folgenden jährlichen Änderungspauschalen ergeben:
Bereich
|
Änderungsvorhaben
|
Jährliche Änderungspauschale
|
EETS-Anbieter mit eigener Erkennung und Tarifierung
|
EETS-Anbieter, die den Mauterhebungsdienst nutzen
|
A
|
Konfigurative oder betriebliche Anpassungen an den technischen Anbindungen zur Produktiv- oder zu den Testumgebungen des Mauterhebers oder Anpassungen an den organisatorischen oder Backoffice-Schnittstellen zwischen EETS-Anbieter und Mauterheber
|
48 276 EUR
|
105 835 EUR
|
B
|
Aktualisierung Schnittstelle SST301 (DSRC-Schnittstelle) auf Version 3.0
|
210 813 EUR
|
210 813 EUR
|
B
|
Aktualisierung der Backoffice-Schnittstellen auf die neue Version des Standards CEN TS 16986:202X (Teil 1)*)
|
69 414 EUR
|
105 406 EUR
|
C
|
Einführung einer CO2-differenzierten Bemautung auf Basis der aktualisierten Wegekostenrichtlinie
|
88 696 EUR
|
74 556 EUR
|
|
Summe
|
417 199 EUR
|
496 610 EUR
|
Im Rahmen der Überprüfung des EETS-Vergütungsmodells wird die Änderungspauschale für die nachfolgende Vergütungsperiode entsprechend der nachfolgenden Regelungen überprüft und neu festgelegt.
Der Mauterheber wird Art und Umfang der von ihm für den Zeitraum der bevorstehenden Vergütungsperiode geplanten technischen und prozessualen Änderungen, die für das Mautgebiet BFStrMG relevant sind, abschätzen. Ausgehend von der Abschätzung wird die als Bestandteil des Betriebsentgelts zu vergütende Änderungspauschale festgelegt, die ab der nächsten Vergütungsperiode gültig wird.
Der Mauterheber wird die EETS-Anbieter zum Start der Umsetzung von Änderungsvorhaben der nachfolgenden Bereiche B) und C) in Textform auffordern.
EETS-Anbieter erhalten für Änderungsvorhaben in den Bereichen B) und C) jedoch nur dann eine Vergütung, wenn zum Zeitpunkt der Aufforderung zur Umsetzung des jeweiligen Änderungsvorhabens durch den Mauterheber der jeweilige EETS-Anbieter bereits die Prüfvereinbarung gemäß EEMD-ZVAnl I unterzeichnet hat.
Sofern der Mauterheber die EETS-Anbieter zum Start der Umsetzung eines ursprünglich geplanten und in der Änderungspauschale berücksichtigten Änderungsvorhabens während der gesamten Vergütungsperiode nicht aufgefordert hat, wird der Mauterheber die für dieses Änderungsvorhaben vorgesehene Vergütung und bereits an die EETS-Anbieter gezahlte Vergütung im Rahmen einer Endabrechnung gemäß Nummer 2.3.4 zurückfordern.
Technische und prozessuale Änderungsvorhaben, die bei der Ermittlung der Änderungspauschale berücksichtigt werden, können sich in folgenden Bereichen ergeben:
- A)
Individuelle konfigurative oder betriebliche Anpassungen an den technischen Anbindungen zur Produktiv- oder zu den Testumgebungen des Mauterhebers oder Anpassungen an den organisatorischen oder Backoffice-Schnittstellen zwischen EETS-Anbieter und Mauterheber, zum Beispiel
- •
Änderungen der Belegung oder der Wertebereiche einzelner Attribute
- •
Entfall der Übermittlung eines Wertes oder des Inhalts eines Attributs
- •
Ergänzung der Übermittlung eines gemäß dem relevanten Standard vorgesehenen Attributs
- B)
Anpassung an oder Implementierung einer neuen Version eines technischen Standards, der in Anhang I der Durchführungsverordnung (EU) 2020/204 genannt ist, namentlich:
- •
EN 15509
- •
EN ISO 12813
- •
EN ISO 13141
- •
EN ISO 12855
- •
CEN TS 16986
- C)
Änderungen aufgrund der Umsetzung europäischer Vorgaben in nationales Recht. Relevante europäische Vorgaben, aus denen sich Anpassungen ergeben können, sind namentlich:
- •
die Richtlinie (EU) 2019/520 des Europäischen Parlaments und des Rates vom 19. März 2019 über die Interoperabilität elektronischer Mautsysteme und die Erleichterung des grenzüberschreitenden Informationsaustauschs über die Nichtzahlung von Straßenbenutzungsgebühren in der Union (ABl. L 91 vom 29.3.2019, S. 45) in der jeweils geltenden Fassung und die auf ihrer Grundlage erlassenen Rechtsakte
- •
die Richtlinie 1999/62/EG des Europäischen Parlaments und des Rates vom 17. Juni 1999 über die Erhebung von Gebühren für die Benutzung bestimmter Verkehrswege durch schwere Nutzfahrzeuge (ABl. L 187 vom 20.7.1999, S. 42) in der jeweils geltenden Fassung und die auf ihrer Grundlage erlassenen Rechtsakte.
Dazu wird der Mauterheber eine Prognose über die von ihm innerhalb der bevorstehenden Vergütungsperiode initiierten Änderungsvorhaben sowie eine Abschätzung des damit für die EETS-Anbieter verbundenen Aufwands erstellen.
Der abgeschätzte Aufwand für Bestandteile eines Änderungsvorhabens, die außer für das Mautgebiet BFStrMG noch für weitere Mautgebiete genutzt werden können, insbesondere Entwicklungs-/Implementierungskosten, wird anteilig in der Änderungspauschale angesetzt. Abgeschätzte Aufwände für Bestandteile eines Änderungsvorhabens, die kein Synergiepotential zu anderen Mautgebieten haben, insbesondere Aufwand für Änderungen aus dem Bereich A) oder für individuelle Tests oder Prüfungen des Mauterhebers werden vollständig in der Änderungspauschale berücksichtigt.
Es werden separate Aufwandsschätzungen für EETS-Anbieter, die den MED nutzen und solche, die den MED noch nicht nutzen, durchgeführt. Weitere Unterscheidungen werden nicht vorgenommen und es werden insbesondere keine EETS-Anbieter individuellen Aufwandsschätzungen durchgeführt.
Der Mauterheber wird dem EETS-Anbieter im Rahmen der Übermittlung des EETS-Vergütungsmodells für die nachfolgende nächste Vergütungsperiode auch Informationen zu den prognostizierten Änderungsvorhaben sowie den jeweiligen Aufwandsschätzungen bereitstellen.
- 2.3.2
-
Änderungspauschale bei zusätzlichen Änderungsvorhaben
Für den Fall, dass der Mauterheber während einer laufenden Vergütungsperiode die Umsetzung eines zusätzlichen Änderungsvorhabens durch die EETS-Anbieter initiiert, welches in der Prognose für die Vergütungsperiode noch nicht enthalten war, wird der Mauterheber für dieses zusätzliche Änderungsvorhaben eine Aufwandsabschätzung nach den in Nummer 2.3.1 beschriebenen Regeln durchführen und die Änderungspauschale während der laufenden Vergütungspauschale entsprechend erhöhen. Ein Änderungsvorgaben ist dann zusätzlich im Sinne des Satz 1, wenn es nicht bereits in Nummer 2.3.1 mit umfasst ist.
- 2.3.3
-
Endabrechnung der Änderungspauschale bei Vertragsbeginn während einer Vergütungsperiode
Für den Fall, dass der Beginn des Zulassungsvertrags mit dem EETS-Anbieter innerhalb einer laufenden Vergütungsperiode liegt, erhält der EETS-Anbieter bis zum Ende der Vergütungsperiode die Änderungspauschale in der für diese Vergütungsperiode festgelegten Höhe als Teil des Betriebsentgelts.
Für Änderungsvorhaben aus den Bereichen B) und C) erfolgt in diesem Fall nach Umsetzung des Änderungsvorhabens durch den EETS-Anbieter eine Abschlussvergütung, über die der verbleibende Betrag für die Umsetzung des Änderungsvorhabens vergütet wird, der noch nicht über das Betriebsentgelt vergütet wurde. Dies gilt nur, wenn zum Zeitpunkt der Aufforderung zur Umsetzung des jeweiligen Änderungsvorhabens durch den Mauterheber der jeweilige EETS-Anbieter bereits die Prüfvereinbarung gemäß EEMD-ZVAnl I unterzeichnet hat.
Die Höhe des noch offenen Vergütungsbetrags wird für jedes Änderungsvorhaben aus den Bereichen B) und C) wie folgt ermittelt:
|
Abgeschätzter Gesamtaufwand für das Änderungsvorhaben
|
./.
|
seit Vertragsbeginn als Teil des Betriebsentgelts für das Änderungsvorhaben bereits gezahlte Vergütung
|
=
|
Noch offener Vergütungsbetrag für das Änderungsvorhaben
|
- 2.3.4
-
Endabrechnung der Änderungspauschale bei nicht freigegebenen Änderungsvorhaben
Sofern der Mauterheber die EETS-Anbieter nicht zum Start der Umsetzung eines ursprünglich geplanten und in der Änderungspauschale berücksichtigten Änderungsvorhabens während der gesamten Vergütungsperiode aufgefordert hat, wird der Mauterheber die in dieser Vergütungsperiode für das ursprünglich geplante Änderungsvorhaben an den EETS-Anbieter gezahlte Vergütung zurückfordern oder mit dem für die kommende Vergütungsperiode geplanten Betriebsentgelt verrechnen.
Die Höhe des zurückgeforderten Vergütungsbetrags entspricht dem Teil des Betriebsentgelts, der seit dem Vertragsbeginn an den EETS-Anbieter für jedes betroffene Änderungsvorhaben aus den Bereichen B) und C) gezahlt wurde.
1 Das Änderungsvorhaben wird nicht vollständig in der Vergütungsperiode 2021 bis 2023 umgesetzt und als Teil 2 in der nachfolgenden Vergütungsperiode fortgesetzt.