RückAbzinsV

Verordnung über die Ermittlung und Bekanntgabe der Sätze zur Abzinsung von Rückstellungen (Rückstellungsabzinsungsverordnung - RückAbzinsV)


Ausfertigungsdatum: 18.11.2009
Stand:
Zuletzt geändert durch Art. 9 G v. 11.3.2016 I 396
    Eingangsformel
    § 1  Abzinsung von Rückstellungen
    § 2  Datengrundlage
    § 3  Berechnungsgrundlagen und deren Abkürzungen
    § 4  Umrechnung von Festzins-Swapsätzen in Null-Kupon-Swapsätze
    § 5  Interpolation fehlender Laufzeiten
    § 6  Berechnung des Aufschlags
    § 6a  Berechnung des Aufschlags bei Rückstellungen für Altersversorgungsverpflichtungen
    § 7  Bekanntgabe
    § 8  Inkrafttreten
    § 8  Übergangsvorschrift zum Gesetz zur Umsetzung der Wohnimmobilienkreditrichtlinie und zur Änderung handelsrechtlicher Vorschriften

Fussnoten:


(+++ Textnachweis ab: 26.11.2009 +++)

Eingangsformel

Norm in neuem Fenster öffnen
Auf Grund des § 253 Absatz 2 Satz 4 und 5 des Handelsgesetzbuchs in der im Bundesgesetzblatt Teil III, Gliederungsnummer 4100-1, veröffentlichten bereinigten Fassung, der durch Artikel 1 Nummer 10 des Gesetzes vom 25. Mai 2009 (BGBl. I S. 1102) neu gefasst worden ist, verordnet das Bundesministerium der Justiz im Benehmen mit der Deutschen Bundesbank:

§ 1  Abzinsung von Rückstellungen

Norm in neuem Fenster öffnen
Rückstellungen für Verpflichtungen gemäß § 253 Absatz 2 Satz 1 und 2 des Handelsgesetzbuchs werden auf der Grundlage der Abzinsungszinssätze abgezinst, die von der Deutschen Bundesbank nach Maßgabe dieser Verordnung mit zwei Nachkommastellen ermittelt und bekannt gemacht werden. Die Zinssätze werden aus einer um einen Aufschlag erhöhten Null-Kupon-Euro-Zinsswapkurve ermittelt.

§ 2  Datengrundlage

Norm in neuem Fenster öffnen
Die Null-Kupon-Euro-Zinsswapkurve wird auf der Grundlage von Euro-Festzins-Swapsätzen mit den Laufzeiten ein bis zehn Jahre, zwölf, 15, 20, 25, 30, 40 und 50 Jahre berechnet. Die verwendeten Zeitreihen sind veröffentlichte Vortagsendstände für aus einer Reihe von Swap-Anbietern zusammengesetzte beste Geldkurse mit Verzinsung auf der Basis von 30 zu 360 Zinsberechnungstagen. Die Swapsätze für die ganzjährigen Laufzeiten zwischen den genannten Laufzeiten werden interpoliert. Die Berechnung des Aufschlags erfolgt anhand eines breiten Rendite-Indexes für auf Euro lautende Unternehmensanleihen aller Laufzeiten mit einer hochklassigen Bonitätseinstufung. Die Daten können von internationalen Finanzdatenanbietern bezogen werden. Es ist ausreichend, die Daten nur eines Finanzdatenanbieters heranzuziehen.

§ 3  Berechnungsgrundlagen und deren Abkürzungen

Norm in neuem Fenster öffnen
Die Zins-Swapsätze mit jährlicher Verzinsung werden wie folgt bezeichnet:
S t = Festzins-Swapsatz mit Laufzeit t in Jahren,
N t = Null-Kupon-Swapsatz mit Laufzeit t und Zinszahlung erst am Laufzeitende,
Tt 1,t 2 = impliziter Null-Kupon-Termin-Swapsatz mit Laufzeit von 1 bis 2.

§ 4  Umrechnung von Festzins-Swapsätzen in Null-Kupon-Swapsätze

Norm in neuem Fenster öffnen
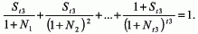
Die Null-Kupon-Swapsätze werden aus den Festzins-Swapsätzen mit Hilfe der Null-Kupon-Anleihen-Entbündelung (Bootstrapping) abgeleitet, und sind dadurch charakterisiert, dass die Fälligkeitstermine im Jahresabstand aufeinanderfolgen und mit den Kuponterminen zusammenfallen. Für den Gegenwartswert eines Festzins-Swaps mit Laufzeit t gilt:

 


Der Festzins-Swapsatz mit einer Laufzeit von einem Jahr entspricht dem Null-Kupon-Swapsatz mit einer einjährigen Laufzeit; S1 = N1. Die weiteren ganzjährigen Null-Kupon-Swapsätze werden wie folgt schrittweise berechnet:

 

§ 5  Interpolation fehlender Laufzeiten

Norm in neuem Fenster öffnen
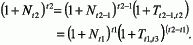
(1) Der implizite Termin-Swapsatz aus Null-Kupon-Swapsätzen mit Laufzeitbeginn t über eine Laufzeit von einem Jahr (der Termin-Swapsatz zwischen t und t +1) wird wie folgt berechnet:

 
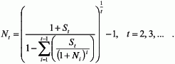
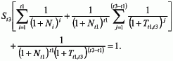
(2) Für Laufzeiten über zehn Jahre werden nicht alle jährlichen Festzins-Swapsätze verwendet. Die dazwischenliegenden ganzjährigen Laufzeiten werden aus den verwendeten Laufzeiten zwölf, 15, 20, 25, 30, 40 und 50 Jahre abgeleitet. Für die Interpolation wird die Annahme getroffen, dass die Termin-Swapsätze für die dazwischenliegenden Laufzeiten konstant sind. Die fehlenden Null-Kupon-Swapsätze mit Laufzeit t 2 werden dann mit der nachstehenden Methode ermittelt. Der Gegenwartswert eines Festzins-Swaps mit Laufzeit t 3 stellt sich wie folgt dar, wobei S1, S2,…, St 1 und St 3 sowie N1, N2,…, Nt 1 bekannt sind, 1< 2< 3 und t 2 – t 1 ≥ 1 sind:

 


Annahmegemäß gilt:

 


 


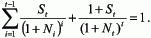
Der Termin-Swapsatz (Tt 1,t 3) wird in der letzten Gleichung, da der Swapsatz mit Laufzeit t 3 (St 3) und die Null-Kupon-Swapsätze N1 bis Nt 1 bekannt sind, mittels eines numerischen Verfahrens (Newton-Verfahren) berechnet. Danach wird der Null-Kupon-Swapsatz mit Laufzeit t 2 (Nt 2) durch das Einsetzen des Termin-Swapsatzes Tt 1,t 3 in die folgende Gleichung bestimmt:

 

§ 6  Berechnung des Aufschlags

Norm in neuem Fenster öffnen
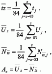
Zur Berechnung des Aufschlags wird die Rendite des Unternehmensanleihenindexes über die vergangenen 84 Monatsendstände arithmetisch gemittelt. Weiterhin wird die durchschnittliche Laufzeit der im Index enthaltenen Anleihen über den gleichen Zeitraum berechnet. Für diese durchschnittliche Laufzeit wird der Null-Kupon-Swapsatz ermittelt (bei nicht ganzjährigen Laufzeiten durch lineare Interpolation), auch dieser aus dem arithmetischen Mittel der letzten 84 Monatsendstände der Swapsätze. Dann wird der Abstand zwischen der gemittelten Unternehmensanleihenrendite und dem laufzeitgleichen gemittelten Null-Kupon-Swapsatz berechnet. Dieser Abstand erhöht als Aufschlag die gemittelte Null-Kupon-Euro-Zinsswapkurve über deren gesamte Laufzeit. Dabei sind Uz die Rendite des Unternehmensanleihenindexes, tz die durchschnittliche Laufzeit der Anleihen des Indexes und Ntz der Null-Kupon-Swapsatz mit Laufzeit t zum Zeitpunkt z.Der Aufschlag (Az) ergibt sich wie folgt:

 


Der Abzinsungszinssatz mit Laufzeit t zum Zeitpunkt z (AStz) ergibt sich dann als Summe vom jeweiligen gemittelten Null-Kupon-Swapsatz und dem für diesen Zeitpunkt einheitlichen Aufschlag:

 

§ 6a  Berechnung des Aufschlags bei Rückstellungen für Altersversorgungsverpflichtungen

Norm in neuem Fenster öffnen
Für die Berechnung des Aufschlags bei Rückstellungen für Altersversorgungsverpflichtungen nach § 253 Absatz 2 Satz 1 und 2 des Handelsgesetzbuchs treten bei der Anwendung des § 6 an die Stelle von 84 Monatsendständen 120 Monatsendstände.

§ 7  Bekanntgabe

Norm in neuem Fenster öffnen
Auf Basis der Daten des letzten Handelstages des Monats veröffentlicht die Deutsche Bundesbank monatlich die Null-Kupon-Euro-Zinsswapsätze und die Abzinsungszinssätze für die ganzjährigen Laufzeiten von einem Jahr bis 50 Jahre auf ihrer Internetseite www.bundesbank.de.

§ 8  Inkrafttreten

Norm in neuem Fenster öffnen
Diese Verordnung tritt am Tag nach der Verkündung in Kraft.

§ 8  Übergangsvorschrift zum Gesetz zur Umsetzung der Wohnimmobilienkreditrichtlinie und zur Änderung handelsrechtlicher Vorschriften

Norm in neuem Fenster öffnen
§ 6a in der Fassung des Gesetzes zur Umsetzung der Wohnimmobilienkreditrichtlinie und zur Änderung handelsrechtlicher Vorschriften vom 11. März 2016 (BGBl. I S. 396) ist erstmals auf die Berechnung des Aufschlags zum 17. März 2016 anzuwenden. Die Deutsche Bundesbank berechnet die Abzinsungszinssätze für Rückstellungen für Altersversorgungsverpflichtungen nach Maßgabe des § 6a in der ab dem 17. März 2016 geltenden Fassung auch rückwirkend auf Basis der Daten des jeweils letzten Handelstages des Monats ab einschließlich Januar 2015 und veröffentlicht die so berechneten Abzinsungszinssätze zusätzlich auf ihrer Internetseite.